Pagina 14 - Manuali per questa apparecchiatura; Guida di Installazione del Driver
                                                                                                                        Manuali per questa apparecchiatura I manuali relativi a questa macchina sono strutturati nel modo descritto di seguito. Consultare i manuali per avere informazioni dettagliate sull’argomento desiderato. Questo simbolo indica i manuali stampati. Questo simbolo indica i manuali inclusi nel CD-ROM forn...
                                                                                                             
                                                                                            
                                    Pagina 15 - Contenuto; Prefazione
                                                                                                                        3 Contenuto 1 Prefazione Come utilizzare il presente manuale . . . . . . . . . . . . . . . . . . . . . . . . . . . . . . . . . . . . . . . . . . . . . . . . . . . . . . . . . . . . . . . . . . . . 6 Simboli utilizzati nel manuale . . . . . . . . . . . . . . . . . . . . . . . . . . . . . . . . . . . ...
                                                                                                             
                                                                                            
                                    Pagina 17 - Prefazione
                                                                                                                        5 1 Prefazione Grazie per aver acquistato il prodotto Canon imageRUNNER ADVANCE C5255/C5255i/C5250/C5250i/C5240i/C5235i. Leggere attentamente il manuale prima di utilizzare la macchina, in modo da familiarizzare con l’apparecchiatura e poter sfruttare al meglio le sue molteplici funzioni. Per inform...
                                                                                                             
                                                                                            
                                    Pagina 18 - Come utilizzare il presente manuale; Simboli utilizzati nel manuale; ATTENZIONE; IMPORTANTE; Illustrazioni utilizzate nel manuale
                                                                                                                        6 Prefazione 1 Come utilizzare il presente manuale Simboli utilizzati nel manuale I simboli riportati nel manuale e descritti di seguito indicano particolari procedure, limiti, precauzioni e operazioni da eseguire per utilizzare la macchina in condizioni di sicurezza. Indica operazioni che potrebber...
                                                                                                             
                                                                                            
                                    Pagina 19 - Marchi di fabbrica
                                                                                                                        Italiano 7 Prefazione 1 Marchi di fabbrica MEAP e il logo MEAP sono marchi di fabbrica Canon Inc. Questo prodotto comprende la Universal Font Scaling Technology o UFST ® sotto licenza di Monotype Imaging, Inc. UFST ® è un marchio di fabbrica di Monotype Imaging, Inc. registrato presso l’Uffi cio sta...
                                                                                                             
                                                                                            
                                    Pagina 20 - Come installare l’e-Manual
                                                                                                                        8 Prefazione 1 Come utilizzare il manuale (e-Manual) Come installare l’e-Manual ● Per installare l’e-Manual seguire la procedura riportata di seguito. ❏ Windows 1. Inserire il CD-ROM dell’e-Manual nel computer. 2. Selezionare la lingua per l’e-Manual. 3. Selezionare [Installare]. Se si seleziona [ V...
                                                                                                             
                                                                                            
                                    Pagina 21 - Prima pagina dell’e-Manual; Esecuzione di una ricerca
                                                                                                                        Italiano 9 Prefazione 1 Prima pagina dell’e-Manual 2 1 3 4 5 6 7 8 9 10 11 12 Digitare la parola chiave Immettere una parola chiave nella fi nestra di dialogo di ricerca, quindi fare clic su  . I risultati di ricerca vengono visualizzati. Selezione dalle funzioni Vengono descritte le istruzioni per ...
                                                                                                             
                                                                                            
                                    Pagina 22 - Note legali; Nome del prodotto
                                                                                                                        10 Prefazione 1 Note legali Nome del prodotto Per conformità alle norme di sicurezza, il nome del prodotto deve essere registrato (depositato). In alcune aree di commercializzazione, potrebbe essere registrato il nome indicato tra parentesi. • imageRUNNER ADVANCE C5255/C5255i, imageRUNNER ADVANCE C5...
                                                                                                             
                                                                                            
                                    Pagina 23 - Diritti d’autore
                                                                                                                        Italiano 11 Prefazione 1 Direttiva WEEE (RAEE) Solo per l’Unione Europea e lo Spazio Economico Europeo. Questi simboli indicano che il prodotto non può essere smaltito con i rifi uti domestici, ai sensi della Direttiva RAEE (2002/96/CE), della Direttiva sulle Batterie (2006/66/CE) e/o delle leggi na...
                                                                                                             
                                                                                            
                                    Pagina 24 - Declino di responsabilità; NOTA
                                                                                                                        12 Prefazione 1 (9) Non vi è concessa alcuna licenza sul SOFTWARE in formato leggibile da una persona (il codice sorgente). Indipendentemente dai punti (1) e (9) di cui sopra, in caso siano presenti altre condizioni a corredo di moduli software di proprietà di terzi, questi saranno soggetti alle alt...
                                                                                                             
                                                                                            
                                    Pagina 25 - Importanti istruzioni di sicurezza; Installazione; Alimentazione elettrica
                                                                                                                        Italiano 13 Prefazione 1 Importanti istruzioni di sicurezza Leggere con attenzione queste “Importanti istruzioni di sicurezza” prima di iniziare ad utilizzare la macchina. Prestare molta attenzione a queste istruzioni, che hanno lo scopo di evitare che l’operatore o altre persone si feriscano durant...
                                                                                                             
                                                                                            
                                    Pagina 26 - Precauzioni
                                                                                                                        14 Prefazione 1 IMPORTANTE Lasciare spazio suffi ciente intorno alla presa, in modo da poter scollegare facilmente il cavo all’occorrenza. Se si posizionano degli oggetti intorno alla presa, il cavo non potrà essere scollegato facilmente in caso di emergenza. Precauzioni • Non tentare di smontare o ...
                                                                                                             
                                                                                            
                                    Pagina 27 - Manutenzione e controlli
                                                                                                                        Italiano 15 Prefazione 1 • Il raggio laser può essere pericoloso. Dato che le radiazioni laser vengono generate all’interno di aree schermate e protette, il raggio laser non può fi ltrare all’esterno durante il funzionamento della macchina. Leggere le seguenti note e precauzioni. - Non aprire i pann...
                                                                                                             
                                                                                            
                                    Pagina 28 - Materiali di consumo; Altre avvertenze
                                                                                                                        16 Prefazione 1 ATTENZIONE • Il gruppo di fi ssaggio e gli elementi circostanti all’interno della macchina potrebbero scaldarsi durante l’utilizzo. Quando si rimuove la carta inceppata o si ispeziona l’interno della macchina, non toccare il gruppo di fi ssaggio e gli elementi circostanti, perché pot...
                                                                                                             
                                                                                            
                                    Pagina 29 - Luogo di installazione e precauzioni; Precauzioni per l’installazione
                                                                                                                        Italiano 17 Prefazione 1 Luogo di installazione e precauzioni Questo capitolo riporta le precauzioni da osservare durante l’installazione e l’uso. Leggere questo capitolo prima di iniziare ad utilizzare la macchina. Precauzioni per l’installazione ■ Evitare di installare la macchina in presenza dell...
                                                                                                             
                                                                                            
                                    Pagina 30 - Spostamento della macchina
                                                                                                                        18 Prefazione 1 • Se la comunicazione non è disponibile, contattare un rivenditore autorizzato Canon. In base all’area geografi ca o al collegamento telefonico posseduto, la comunicazione dati potrebbe non essere possibile. In tal caso, contattare il rivenditore autorizzato Canon. • Non rimuovere i ...
                                                                                                             
                                                                                            
                                    Pagina 31 - Precauzioni per l’uso
                                                                                                                        Italiano 19 Prefazione 1 • La Duplex Color Image Reader Unit-E1, la Foratrice, il Booklet Finisher-J1, la Buff er Pass Unit-G1 e la Paper Deck Unit-B2 sono installati: 2.180 mm 2.062 mm 1.174 mm 118 mm 100 mm o più Precauzioni per l’uso • Non tentare di smontare o di modifi care la macchina. • Alcun...
                                                                                                             
                                                                                            
                                    Pagina 33 - Controllo periodico dell’interruttore di sicurezza
                                                                                                                        Italiano 21 Prefazione 1 Controllo periodico dell’interruttore di sicurezza Questa macchina è dotata di un interruttore di sicurezza che rileva la corrente in eccesso o la corrente di dispersione. Testare l’interruttore di sicurezza una o due volte al mese seguendo la procedura descritta di seguito....
                                                                                                             
                                                                                            
                                    Pagina 34 - Come compilare il foglio di raccolta dati
                                                                                                                        22 Prefazione 1 Foglio di raccolta dati per il controllo periodico dell’interruttore di sicurezza Copiare questa pagina per un utilizzo futuro e conservarla in un luogo sicuro accanto alla macchina per documentare i controlli periodici dell’interruttore di sicurezza. ● Come eseguire i controlli peri...
                                                                                                             
                                                                                            
                                    Pagina 35 - Backup/esportazione dei dati; Dati di cui si può eseguire il backup/ripristino; Dati che consentono la funzione Importa/Esporta tutti
                                                                                                                        Italiano 23 Prefazione 1 Backup/esportazione dei dati Sul disco fi sso della macchina vengono memorizzati vari tipi di dati, quali i dati ricevuti, i dati memorizzati, la rubrica e le impostazioni di Impostazioni/Registrazione. Un problema di funzionamento del disco fi sso può provocare la perdita d...
                                                                                                             
                                                                                            
                                    Pagina 36 - Altri dati che consentono la funzione Importa/Esporta
                                                                                                                        24 Prefazione 1 ● Dati che consentono la funzione Importa/Esporta individualmente È possibile salvare/caricare i dati individualmente. Inoltre, è possibile scambiare i dati tra questa macchina e altre macchine che non supportano la funzione Importa/Esporta tutti. Dati Riferimenti Elenchi indirizzi e...
                                                                                                             
                                                                                            
                                    Pagina 38 - Possibilità dell’apparecchiatura; Macchina
                                                                                                                        26 Flusso delle operazioni principali 2 Possibilità dell’apparecchiatura Un lavoro di documentazione rivoluzionario con una macchina multifunzione in evoluzione 3 2 4 1 3 2 4 1 Internet Originale Copia/Stampa I-Fax E-mail Fax Invio Computer d'azienda File server E-mail Invio al di fuori dell'azienda...
                                                                                                             
                                                                                            
                                    Pagina 40 - Accesso come amministratore; Accesso dalla macchina; Accesso da un computer; Avviare il browser Web nel computer.
                                                                                                                        28 Flusso delle operazioni principali 2 Flusso delle impostazioni per l’utilizzo delle funzioni desiderate Accesso come amministratore Per specifi care le impostazioni, è necessario accedere alla macchina come amministratore. Esistono due metodi di accesso: accesso dal pannello digitale della macchi...
                                                                                                             
                                                                                            
                                    Pagina 41 - Connessione di rete/USB
                                                                                                                        Italiano 29 Flusso delle operazioni principali 2 Connessione di rete/USB TCP/IP AppleTalk Netware Connessione USB Utilizzo di un cavo di rete Utilizzo di un cavo USB Impostazioni di rete ● Premere → [Preferenze] → [Rete]. Specifi care [Conferma modifi che impostaz. conness. rete], [Impostazioni driv...
                                                                                                             
                                                                                            
                                    Pagina 42 - Scansione e memorizzazione/Accesso a fi le memorizzati; Utilizzo della
                                                                                                                        30 Flusso delle operazioni principali 2 Scansione e memorizzazione/Accesso a fi le memorizzati Opzioni richieste: per l’esecuzione di stampe, è richiesto il PS Printer Kit o il Direct Print Kit (for PDF/XPS). Il PS Printer Kit è una dotazione di serie per imageRUNNER ADVANCE C5255i/C5250i. Accesso a...
                                                                                                             
                                                                                            
                                    Pagina 43 - Invio di fax/Stampa; Invio/Ricezione Remote Fax
                                                                                                                        Italiano 31 Flusso delle operazioni principali 2 Invio di fax/Stampa Opzioni richieste: a seconda della funzione del fax, è richiesto il Fax board o il Remote Fax Kit. A seconda della funzione di stampa, è richiesto un prodotto opzionale. Invio di fax dalla macchina Stampa da un computer Invio di fa...
                                                                                                             
                                                                                            
                                    Pagina 44 - Scansione e invio/Scansione remota; Invio a
                                                                                                                        32 Flusso delle operazioni principali 2 Scansione e invio/Scansione remota Opzioni richieste: a seconda della funzione, è richiesto un prodotto opzionale. Invio a un fi le server Invio per E-Mail/I-Fax Scansione remota Accesso alla macchina come amministratore Connessione di rete: TCP/IP Impostazion...
                                                                                                             
                                                                                            
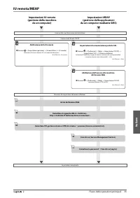
                                    Pagina 45 - Impostazioni IU remota
                                                                                                                        Italiano 33 Flusso delle operazioni principali 2 IU remota/MEAP Impostazioni IU remota (gestione della macchina da un computer) Impostazioni MEAP (gestione delle applicazioni da un computer mediante SMS) Accesso alla macchina come amministratore Connessione di rete: TCP/IP Abilitazione della IU remo...
                                                                                                             
                                                                                            
                                    Pagina 46 - Parti e relative funzioni; Parti esterne
                                                                                                                        34 Flusso delle operazioni principali 2 Parti e relative funzioni In questa parte del manuale vengono riportati i nomi e le funzioni di tutti i componenti della macchina. Per maggiori informazioni sugli accessori opzionali, sui componenti e le relative funzioni, vedere e-Manual > Prodotti opziona...
                                                                                                             
                                                                                            
                                    Pagina 48 - Parti interne
                                                                                                                        36 Flusso delle operazioni principali 2 Parti interne ● Se la Duplex Color Image Reader Unit-E1 e la Cassette Feeding Unit-AD2 sono installate 1 2 3 4 5 6 Vetro di lettura Utilizzare il vetro di lettura quando occorre eseguire la scansione di libri, originali di grande spessore, originali in carta s...
                                                                                                             
                                                                                            
                                    Pagina 49 - Pannello comandi - Parti e relative funzioni
                                                                                                                        Italiano 37 Flusso delle operazioni principali 2 Pannello comandi - Parti e relative funzioni 3 4 5 8 9 10 2 6 7 11 12 14 13 15 16 19 18 17 1 Tasto risparmio energetico Premere per impostare o annullare il modo Riposo. Si accende quando la macchina entra in modo Riposo. Tasto Impostazioni/Registrazi...
                                                                                                             
                                                                                            
                                    Pagina 50 - Utilizzo del pannello comandi; Utilizzo del Menu rapido; Collegamento/Disconnessione
                                                                                                                        38 Flusso delle operazioni principali 2 Utilizzo del pannello comandi ● Utilizzo del Menu rapido Se le funzioni utilizzate con frequenza vengono impostate in anticipo nel Menu rapido, è possibile richiamarle premendo . Se si utilizza un servizio di accesso, viene visualizzata la schermata del Menu r...
                                                                                                             
                                                                                            
                                    Pagina 51 - Utilizzo del pannello digitale; Se il pannello digitale è spento; Selezione di ogni funzione; Utilizzo di Guida
                                                                                                                        Italiano 39 Flusso delle operazioni principali 2 Utilizzo del pannello digitale ● Se il pannello digitale è spento Se dopo l’accensione mediante l’interruttore principale sul pannello digitale non viene visualizzato niente, premere . ● Personalizzazione della schermata del menu principale È possibil...
                                                                                                             
                                                                                            
                                    Pagina 52 - Come accendere la macchina con l’interruttore principale
                                                                                                                        40 Flusso delle operazioni principali 2 Interruttore principale di accensione e interruttore sul pannello comandi In questa sezione è descritto come utilizzare l’interruttore principale e il tasto di risparmio energetico. Per evitare il rischio di scosse elettriche, non collegare o scollegare il cav...
                                                                                                             
                                                                                            
                                    Pagina 53 - Come eseguire una copia; Posizionamento degli originali; Selezione della funzione; Avvio copiatura
                                                                                                                        Italiano 41 Flusso delle operazioni principali 2 Come eseguire una copia In questa sezione è descritto il fl usso delle operazioni principali di copia. 1 Posizionamento degli originali ● Posizionare l’originale sull’alimentatore o sul vetro di lettura. Posizionamento degli originali nell’alimentator...
                                                                                                             
                                                                                            
                                    Pagina 54 - Invio di un fax; Avvio dell’invio del fax
                                                                                                                        42 Flusso delle operazioni principali 2 Invio di un fax In questa sezione è descritto il fl usso delle operazioni principali per l’invio di un fax. Per utilizzare la funzione fax è richiesto un prodotto opzionale. 1 Posizionamento degli originali ● Posizionare l’originale sull’alimentatore o sul vet...
                                                                                                             
                                                                                            
                                    Pagina 55 - Avvio invio
                                                                                                                        Italiano 43 Flusso delle operazioni principali 2 Invio di dati acquisiti (E-Mail/I-Fax/File Server) In questa sezione è descritto il fl usso delle operazioni principali di scansione e invio. 1 Posizionamento degli originali ● Posizionare l’originale sull’alimentatore o sul vetro di lettura. Posizion...
                                                                                                             
                                                                                            
                                    Pagina 56 - Memorizzazione dei dati acquisiti; Selezione della memorizzazione; Avvio scansione
                                                                                                                        44 Flusso delle operazioni principali 2 Memorizzazione dei dati acquisiti In questa sezione è descritto il fl usso delle operazioni principali di scansione e memorizzazione. Viene inoltre riportato un esempio di come memorizzare i dati acquisiti in una mailbox. 1 Posizionamento degli originali ● Pos...
                                                                                                             
                                                                                            
                                    Pagina 57 - Accesso a fi le memorizzati; Selezione del fi le; Avvio stampa o invio
                                                                                                                        Italiano 45 Flusso delle operazioni principali 2 Accesso a fi le memorizzati In questa sezione è descritto il fl usso delle operazioni principali per l’accesso ai fi le memorizzati. La procedura per la stampa o l’invio di fi le memorizzati in una mailbox è utilizzata come esempio. 1 Selezione della ...
                                                                                                             
                                                                                            
                                    Pagina 58 - Utilizzo della macchina da un computer (IU remota); La IU remota è utile nelle seguenti situazioni; Accesso alla IU remota da un browser Web.
                                                                                                                        46 Flusso delle operazioni principali 2 Utilizzo della macchina da un computer (IU remota) La IU remota (interfaccia utente) è un software preinstallato nella macchina che consente l’accesso alle funzioni della macchina mediante il browser Web di un computer. Per esempio, la IU remota consente di ac...
                                                                                                             
                                                                                            
                                    Pagina 59 - Stampa da un computer; Visualizzazione della schermata delle impostazioni di stampa; Avvio stampa
                                                                                                                        Italiano 47 Flusso delle operazioni principali 2 Stampa da un computer Installando un driver della stampante nel proprio computer, è possibile utilizzare la macchina per stampare dati creati mediante il software applicativo. In questa sezione è descritto il fl usso delle operazioni principali per la...
                                                                                                             
                                                                                            
                                    Pagina 62 - Caricamento della carta; Preparare la carta da caricare.
                                                                                                                        50 Manutenzione periodica 3 Caricamento della carta Questa sezione descrive come caricare la carta. Caricamento della carta nei cassetti Se la carta selezionata fi nisce o se la carta presente nel cassetto selezionato fi nisce durante la stampa, viene visualizzato un messaggio che chiede di caricare...
                                                                                                             
                                                                                            
                                    Pagina 63 - Caricare i fogli nel cassetto.; Rimuovere la carta caricata nel cassetto.
                                                                                                                        Italiano 51 Manutenzione periodica 3 3 Caricare i fogli nel cassetto. 3 1, 2 1. Accertarsi che l’impostazione del formato di carta del cassetto corrisponda al formato di carta da caricare. 2. Caricare i fogli facendoli aderire alla parete destra del cassetto. 3. Spingere delicatamente il cassetto ri...
                                                                                                             
                                                                                            
                                    Pagina 65 - Aprire l’alimentatore.; Aprire il pannello del timbro.; Chiudere il pannello del timbro.
                                                                                                                        Italiano 53 Manutenzione periodica 3 Sostituzione della cartuccia del timbro (alimentatore) (opzionale) È possibile contrassegnare con un timbro gli originali inviati tramite l’alimentatore, al fi ne di indicare che sono stati inviati. Sostituire la cartuccia quando il timbro appare sbiadito o illeg...
                                                                                                             
                                                                                            
                                    Pagina 66 - Chiudere l’alimentatore.; Caricare la cartuccia del timbro.; Chiudere i pannelli.
                                                                                                                        54 Manutenzione periodica 3 7 Chiudere il pannello dell’area di scansione dei documenti fi nché si blocca in posizione con uno scatto. ATTENZIONE Quando si chiude il pannello, fare attenzione a non intrappolare le dita, per evitare lesioni personali. 8 Chiudere l’alimentatore. ATTENZIONE • Quando si...
                                                                                                             
                                                                                            
                                    Pagina 67 - Sostituire la cartuccia del toner
                                                                                                                        Italiano 55 Manutenzione periodica 3 Sostituzione della cartuccia del toner/contenitore del toner di scarto Sostituire la cartuccia del toner Quando sul pannello digitale viene visualizzato il messaggio <Sostituire cartuccia toner. (Nero)>, premere  in basso a destra e sostituire la cartuccia ...
                                                                                                             
                                                                                            
                                    Pagina 68 - premere [Rimozione cartucce; Preparare la nuova cartuccia di toner.
                                                                                                                        56 Manutenzione periodica 3 1 Premere [ ]. NOTA Se il toner nero o tutti i toner sono completamente esauriti, questa operazione non è necessaria. 2 Aprire il pannello per la sostituzione del toner tenendo entrambi i lati. 3 Selezionare il colore del toner che si desidera sostituire dal display sul p...
                                                                                                             
                                                                                            
                                    Pagina 69 - Chiudere il pannello interno.
                                                                                                                        Italiano 57 Manutenzione periodica 3 6 Tenere in mano la nuova cartuccia di toner, come indicato sotto, e inclinarla delicatamente verso l’alto e verso il basso 10 volte. 7 Far ruotare il cappuccio protettivo rosso della nuova cartuccia nella direzione della freccia fi no a rimuoverlo. 8 Inserire il...
                                                                                                             
                                                                                            
                                    Pagina 70 - Aprire il pannello anteriore della macchina.
                                                                                                                        58 Manutenzione periodica 3 IMPORTANTE • Il rivenditore autorizzato Canon provvederà a smaltire i serbatoi del toner di scarto. • Il toner usato non può essere riutilizzato. Non aggiungere toner usato a toner nuovo. • Utilizzare esclusivamente i serbatoi del toner di scarto adatti per questa macchin...
                                                                                                             
                                                                                            
                                    Pagina 71 - Pulizia periodica; Pulizia manuale dell’alimentatore
                                                                                                                        Italiano 59 Manutenzione periodica 3 Pulizia periodica Se l’originale non viene riprodotto in modo nitido, pulire le parti della macchina indicate di seguito. Per ottenere stampe di qualità, si consiglia di pulire queste parti una o due volte al mese. ● Vetro di lettura ● Parte inferiore dell’alimen...
                                                                                                             
                                                                                            
                                    Pagina 72 - Aprire il pannello interno.
                                                                                                                        60 Manutenzione periodica 3 2 Pulire l’area di scansione degli originali (striscia di vetro sottile) con un panno strizzato dopo essere stato inumidito con acqua o un detergente delicato, quindi asciugarla con un panno morbido e asciutto. 3 Tirare la leva sopra l’alimentatore e aprire il pannello di...
                                                                                                             
                                                                                            
                                    Pagina 73 - Pulizia dei rulli dell’alimentatore.; Pulire l’area di scansione dell’alimentatore.; Chiudere il pannello dell’alimentatore.
                                                                                                                        Italiano 61 Manutenzione periodica 3 Color Image Reader Unit-F1 1 Pulizia dei rulli dell’alimentatore. 2 1 1 1. Tirare la leva e aprire il pannello dell’alimentatore. 2. Pulire i rulli (3 in totale) sotto il coperchio dell’alimentatore. 2 Pulizia dei rulli sotto il pannello interno. 2 1 1. Aprire il...
                                                                                                             
                                                                                            
                                    Pagina 74 - Pulizia del vetro antipolvere
                                                                                                                        62 Manutenzione periodica 3 Pulizia automatica dell’alimentatore Se si notano delle strisce nere sugli originali o se gli originali sono macchiati dopo essere passati nell’alimentatore, eseguire una pulizia automatica dei rulli dell’alimentatore. 1 Premere . 2 Premere [Regolazione/Manutenzione] → [M...
                                                                                                             
                                                                                            
                                    Pagina 75 - Materiali di consumo; Carta consigliata
                                                                                                                        Italiano 63 Manutenzione periodica 3 Materiali di consumo Sono disponibili i seguenti materiali di consumo Canon. Per maggiori informazioni al riguardo, contattare un rivenditore autorizzato Canon. Si consiglia di avere sempre una scorta di carta e toner. ● Carta consigliata Oltre alla carta comune ...
                                                                                                             
                                                                                            
                                    Pagina 76 - Cartuccia del timbro; Cartuccia punti; Consumabili originali
                                                                                                                        64 Manutenzione periodica 3 ● Cartuccia del timbro Questa cartuccia viene utilizzata per apporre un timbro sugli originali. Per rimuovere ed inserire la cartuccia del timbro, utilizzare le pinzette fornite. Cartuccia inchiostro per timbro-C1 ● Cartuccia punti Finisher Cartuccia punti (Nome/Forma) Bo...
                                                                                                             
                                                                                            
                                    Pagina 78 - Messaggio di richiesta di un intervento di assistenza
                                                                                                                        66 Manutenzione periodica 3 Messaggio di richiesta di un intervento di assistenza Se si presenta un problema di funzionamento e la macchina non è in grado di funzionare in modo corretto, viene visualizzata una schermata che chiede di rivolgersi al rivenditore autorizzato Canon locale. Se viene visua...
                                                                                                             
                                                                                            
                                    Pagina 80 - Posizioni degli inceppamenti carta
                                                                                                                        68 Manutenzione periodica 3 Posizione degli inceppamenti carta e punti di pinzatura Gli inceppamenti della carta e dei punti di pinzatura possono verifi carsi nelle seguenti parti della macchina. Per eliminare l’inceppamento vedere la sezione pertinente. Per i dettagli della procedura, vedere l’e-Ma...
                                                                                                             
                                                                                            
                                    Pagina 81 - Posizioni degli inceppamenti punti
                                                                                                                        Italiano 69 Manutenzione periodica 3 Posizioni degli inceppamenti punti > Soluzione dei problemi > Posizioni degli inceppamenti punti A B 1 2 1 2 2 1 Inner 2 Way Tray-F1 (opzionale) Inner Finisher-E1 (opzionale) Alimentatore (opzionale) Unità di pinzatura a sella del Booklet Finisher-J1 Staple...
                                                                                                             
                                                                                            
                                    Pagina 83 - Appendice
                                                                                                                        71 4 Appendice ■ Specifi che . . . . . . . . . . . . . . . . . . . . . . . . . . . . . . . . . . . . . . . . . . . . . . . . . . . . . . . . . . . . . . . . . . . . . . . . . . . . . . . . . . . . . . . . 72 Unità principale . . . . . . . . . . . . . . . . . . . . . . . . . . . . . . . . . . . . . ....
                                                                                                             
                                                                                            
                                    Pagina 84 - Specifi che; Unità principale
                                                                                                                        72 Appendice 4 Specifi che Le specifi che potrebbero cambiare senza preavviso per miglioramenti del prodotto o per futuri/e lanciamenti/distribuzioni. Unità principale Voce Specifi che Nome Canon imageRUNNER ADVANCE C5255/C5255i/C5250/C5250i/C5240i/C5235i Tipo Reader e stampante separati, Desktop Co...
                                                                                                             
                                                                                            
                                    Pagina 87 - Cassette Feeding Unit-AD2
                                                                                                                        Italiano 75 Appendice 4 Voce Specifi che Ingrandimento Formato carta normale: Stesso rapporto 1:1 Riduzione 1:0,70 (A3 → A4R) 1:0,50 (A3 → A5R) 1:0,25 Ingrandimento 1:1,41 (A4R → A3) 1:2,00 (A5R → A3) 1:4,00 Rapporto riproduzione: da 25% a 400% (in incrementi 1%) Copiatura continua Da 1 a 999 fogli ...
                                                                                                             
                                                                                            
                                    Pagina 88 - Staple Finisher-J1
                                                                                                                        76 Appendice 4 Envelope Feeder Attachment-D1 Voce Specifi che Buste utilizzabili No.10(COM10), Monarch, DL e ISO-C5 Capienza 50 fogli (o per un’altezza pari a 30 mm) Velocità di alimentazione 10 cpm Dimensioni (altezza x larghezza x profondità) 81 mm x 439 mm x 307 mm Peso Circa 1,2 kg Paper Deck Un...
                                                                                                             
                                                                                            
                                    Pagina 93 - Inner 2 Way Tray-F1
                                                                                                                        Italiano 81 Appendice 4 Inner Finisher Additional Tray-A1 Voce Specifi che Formato/Grammatura/Tipo carta Vedere le specifi che di “Formato/Grammatura/Tipo carta” in Inner Finisher-E1. Capienza di ogni vassoio Vedere le specifi che di “Capienza di ogni vassoio (Inner Finisher Additional Tray-A1)” in ...
                                                                                                             
                                                                                            
                                    Pagina 95 - Funzioni di invio; Funzioni di scansione
                                                                                                                        Italiano 83 Appendice 4 Funzioni di invio ● Funzioni di scansione Voce Specifi che Protocollo di comunicazione FTP ( TCP/IP), SMB ( TCP/IP), WebDAV Formato dati TIFF, JPEG, PDF, XPS, OOXML (PowerPoint/Word) Risoluzione 100 x 100 dpi, 150 x 150 dpi, 200 x 100 dpi, 200 x 200 dpi, 200 x 400 dpi, 300 x ...
                                                                                                             
                                                                                            
                                    Pagina 96 - Ambiente di rete; Specifi che hardware; Impostazioni stampante; Specifi che software
                                                                                                                        84 Appendice 4 Ambiente di rete ● Specifi che hardware Interfaccia di rete 10Base-T/100Base-TX/1000Base-T (RJ-45) ● Specifi che software Protocollo supportato TCP/IP Tipo di frame: Ethernet II Applicazione di stampa: LPD/Raw/IPP/IPPS/FTP/WSD IPX/SPX Tipo di frame: Ethernet II/Ethernet 802.2/Ethernet...