Pagina 1 - Sommario; Cacciavite elettrico; Istruzioni per l’uso; Serie EYADA; CARATTERISTICHE DEL; IMPORTANTE; Leggere e seguire le istruzioni per la sicurezza; Istruzioni originalmente scritte in: inglese
                                                                                                                        Sommario Cacciavite elettrico Istruzioni per l’uso Modello n.: Serie EYADA Modello n. XC CARATTERISTICHE DEL PRODOTTO .................................. 2 PRECAUZIONI DI SICUREZZA .... 4NOMI DEI COMPONENTI ........... 10 PRIMA DELL ’USO PREPARAZIONE PRIMA DELL’USO ......................................
                                                                                                             
                                                                                            
                                    Pagina 2 - CARATTERISTICHE DEL PRODOTTO; * È possibile effettuare le impostazioni delle funzioni su; Per controllare lo stato di fissaggio
                                                                                                                        2 IT CARATTERISTICHE DEL PRODOTTO Questa unità è un cacciavite elettrico compatto e facile da impugnare dotato di un motore brushless. Si maneggia bene ed è molto facile da mantenere perché non è necessario sostituire una spazzola, fornendo così un’esperienza di lavoro confortevole. * È possibile ef...
                                                                                                             
                                                                                            
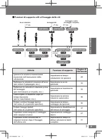
                                    Pagina 3 - Funzioni di supporto utili al fissaggio delle viti; Attività; Evitare continui fissaggi ripetuti
                                                                                                                        3 PRIMA DELL ’USO PREP ARAZIONE FUNZIONAMENT O AL TRI IT 1ª vite 2ª vite Nª vite Nessun uso combinato Avvio rotazione Serraggio OK Conteggio a salire (Conteggio completo) P. 31 P. 30 P. 25 P. 29 P. 27 P. 37 P. 35 P. 36 Impostazione limite inferiore Impostazione tempo valutazione da ignorare P. 32 P....
                                                                                                             
                                                                                            
                                    Pagina 4 - PRECAUZIONI DI SICUREZZA; alle persone e alle cose.; Può causare lesioni gravi o mortali.; PRECAUZIONE; Può causare lesioni di minore entità o danni; AVVERTIMENTO; Indossare protezioni acustiche come tappi auricolari o cuffie; La mancata osservanza di questa precauzione potrebbe influire; Inserire la spina di alimentazione fino in fondo.
                                                                                                                        4 IT PRECAUZIONI DI SICUREZZA Di seguito sono riportate le istruzioni da rispettare costantemente per evitare danni alle persone e alle cose. ■ La gravità di lesioni e danni causati da un uso errato viene indicata da quanto segue. AVVERTIMENTO Può causare lesioni gravi o mortali. PRECAUZIONE Può cau...
                                                                                                             
                                                                                            
                                    Pagina 5 - Utilizzare gli accessori e gli attrezzi specificati.; Per motivi di sicurezza, utilizzare morsetti o morse per fissarlo.; Seguendo le Istruzioni per l’uso, fissare saldamente una
                                                                                                                        5 PRIMA DELL ’USO PREP ARAZIONE FUNZIONAMENT O AL TRI IT AVVERTIMENTO Obbligatorio  Pulire regolarmente la spina di alimentazione dalla polvere. La polvere accumulata sulla spina potrebbe assorbire umidità e causare un cattivo isolamento, provocando incendi. Scollegare la spina di alimentazione e p...
                                                                                                             
                                                                                            
                                    Pagina 6 - cavo di alimentazione progettati specificatamente per i nostri; Farlo potrebbe influire negativamente sulla salute.
                                                                                                                        6 IT PRECAUZIONI DI SICUREZZA AVVERTIMENTO Vietato  Non utilizzare una presa o un dispositivo di cablaggio in modo che superino il valore nominale. Utilizzare solo entro la gamma nominale elettrica. Il superamento del valore nominale a causa di una presa sovraccarica potrebbe causare la generazione...
                                                                                                             
                                                                                            
                                    Pagina 7 - La mancata osservanza di questa precauzione potrebbe causare un; Non modificare l’utensile. Non smontare o riparare l’utensile.; Farlo potrebbe causare incendi, scosse elettriche o lesioni.
                                                                                                                        7 PRIMA DELL ’USO PREP ARAZIONE FUNZIONAMENT O AL TRI IT AVVERTIMENTO Vietato  Scollegare la spina di alimentazione tra un utilizzo e l’altro. La mancata osservanza di questa precauzione potrebbe causare un isolamento inadeguato con conseguenti scosse elettriche o incendi dovuti a perdite elettrich...
                                                                                                             
                                                                                            
                                    Pagina 8 - attendere che si raffreddi prima dell’uso.; con conseguenti lesioni.
                                                                                                                        8 IT PRECAUZIONI DI SICUREZZA PRECAUZIONE Obbligatorio  Se l’utensile diventa molto caldo, interrompere il lavoro e attendere che si raffreddi prima dell’uso. La mancata osservanza di questa precauzione potrebbe causare ustioni.  Per scollegare la spina di alimentazione, afferrare sempre la spina ...
                                                                                                             
                                                                                            
                                    Pagina 9 - Non lavorare in una posizione insolita.; In caso contrario, si potrebbe cadere e subire lesioni.; Non utilizzare l’utensile quando si è stanchi.; Farlo potrebbe causare lesioni.; Non tenere solo il cavo quando si trasporta l’utensile.
                                                                                                                        9 PRIMA DELL ’USO PREP ARAZIONE FUNZIONAMENT O AL TRI IT PRECAUZIONE Vietato  Non lavorare in una posizione insolita. In caso contrario, si potrebbe cadere e subire lesioni. Stare sempre in piedi su una base stabile e mantenere un buon equilibrio.  Non utilizzare l’utensile quando si è stanchi. La...
                                                                                                             
                                                                                            
                                    Pagina 10 - NOMI DEI COMPONENTI; Utensile; Indicazioni di classificazione,; Vista frontale
                                                                                                                        10 IT NOMI DEI COMPONENTI Utensile ① Cavo cacciavite ② Cavo di comunicazione ③ Foro di montaggio gancio cacciavite ④ Pannello operativo ⑤ Interruttore a grilletto della leva ⑥ Impugnatura ⑦ Spia di rilevamento ⑧ Maniglia frizione ⑮ ⑨ Portapunta (per albero esagonale, 6,35 mm) ⑩ Coperchio frizione ⑪ ...
                                                                                                             
                                                                                            
                                    Pagina 11 - Accessori; * Fornito solo per EYADA407XC; Cavo di alimentazione
                                                                                                                        12 IT NOMI DEI COMPONENTI (cont.) Accessori Articoli venduti separatamente ■ 2 m Cavo cacciavite ■ 2 m Cavo cacciavite (EYSXC120) ■ 3 m Cavo cacciavite (EYSXC130) ■ Gancio cacciavite ■ Gancio cacciavite (EYSXA100) ■ Coperchio frizione ■ Coperchio frizione (EYSXA101) ■ Attacco impugnatura * Fornito s...
                                                                                                             
                                                                                            
                                    Pagina 12 - PREPARAZIONE PRIMA DELL’USO; Utilizzo della levetta avanti/indietro; Fissaggio del gancio cacciavite; Eseguire il fissaggio e la rimozione; Inserirlo nel foro di
                                                                                                                        13 IT PRIMA DELL ’USO PREP ARAZIONE FUNZIONAMENT O AL TRI PREPARAZIONE PRIMA DELL’USO Utilizzo della levetta avanti/indietro Con la levetta avanti/indietro, è possibile cambiare la direzione di rotazione del cacciavite elettrico o bloccare l’avvio. Posizione dell’interruttore a grilletto Direzione d...
                                                                                                             
                                                                                            
                                    Pagina 13 - Fissaggio della punta; Tirare il portapunta.; Lunghezza di A; Rimozione della punta; ATTENZIONE; Tirare il portapunta.
                                                                                                                        14 IT PREPARAZIONE PRIMA DELL’USO (cont.) Fissaggio della punta ATTENZIONE  Quando si collega o si rimuove una punta, impostare la levetta avanti/indietro sulla posizione “ ○ (Interruttore a grilletto bloccato)” e spegnere l’interruttore di alimentazione dell’adattatore di alimentazione. P. 13, 16 ...
                                                                                                             
                                                                                            
                                    Pagina 14 - Fissaggio dell’attacco impugnatura; L’attacco impugnatura può essere fissato; Utilizzo in modalità di avvio a leva; Utilizzo in modalità avvio a pressione; Allineare le scanalature nell’attacco; Componenti dell’attacco; Rimuovere la punta prima di fissare
                                                                                                                        15 IT PRIMA DELL ’USO PREP ARAZIONE FUNZIONAMENT O AL TRI Fissaggio dell’attacco impugnatura L’attacco impugnatura può essere fissato a tutti i modelli. (Fornito solo per EYADA407XC) Può assorbire la forza reattiva durante l’attivazione della frizione, contribuendo a ridurre l’affaticamento. Utilizz...
                                                                                                             
                                                                                            
                                    Pagina 15 - Collegamento all’alimentazione; l’interruttore a grilletto.
                                                                                                                        16 IT PREPARAZIONE PRIMA DELL’USO (cont.) Collegamento all’alimentazione ATTENZIONE  Prima del collegamento, impostare la levetta avanti/indietro sulla posizione “ ○ ” per bloccare l’interruttore a grilletto.  P. 13  Utilizzare solo il nostro alimentatore (cavo cacciavite, adattatore di alimentazi...
                                                                                                             
                                                                                            
                                    Pagina 16 - COME UTILIZZARE; Commutazione delle modalità; (L’impostazione predefinita di fabbrica è; Commutazione a modalità di; circa 5 secondi) finché la; Che cos’è la modalità di avvio a; Commutazione alla modalità; secondi) finché la spia di; Che cos’è la modalità avvio a
                                                                                                                        17 IT PRIMA DELL ’USO PREP ARAZIONE FUNZIONAMENT O AL TRI COME UTILIZZARE Commutazione delle modalità di avvio Questa unità dispone di due modalità per l’avvio della rotazione. Commutarle in base al lavoro prima dell’uso. (L’impostazione predefinita di fabbrica è modalità di avvio a leva.) ■ Commuta...
                                                                                                             
                                                                                            
                                    Pagina 17 - Impostazione della coppia di serraggio; Procedura di impostazione; Rimuovere il coperchio; Regolare la coppia con la; Impostare la coppia di serraggio; Fissare il coperchio frizione.; fissaggio; modificata involontariamente.
                                                                                                                        18 IT COME UTILIZZARE (cont.) Impostazione della coppia di serraggio In base al lavoro, la coppia della frizione può essere regolata in 96 passaggi. ■ Procedura di impostazione Rimuovere il coperchio frizione. Ruotare il coperchio frizione in senso antiorario. Anello di fissaggio Regolare la coppia ...
                                                                                                             
                                                                                            
                                    Pagina 18 - Condizioni di misurazione; Basate sulle nostre condizioni di misurazione specificate.
                                                                                                                        19 IT PRIMA DELL ’USO PREP ARAZIONE FUNZIONAMENT O AL TRI 0   1   2   3   4   5   6   7   8 5,0 4,5 4,0 3,5 3,0 2,5 2,0 1,5 1,0 0,5 0,0 Coppia di serraggio Scala Grafico delle coppie di serraggio raccomandate (valori di riferimento) Questi dati sono valori di riferimento misurati nelle seguenti cond...
                                                                                                             
                                                                                            
                                    Pagina 19 - Avvio del lavoro; Avviare la rotazione.; Questa unità fornisce una notifica sullo; Serraggio OK; Le condizioni di rilevamento possono; Spia di rilevamento
                                                                                                                        20 IT COME UTILIZZARE (cont.) Avvio del lavoro Impostare la direzione di rotazione con la levetta avanti/indietro. Quando si imposta sulla posizione “F” e sulla posizione “R”, il motore ruota rispettivamente in avanti (in senso orario) e all’indietro (in senso antiorario). Posizione R Posizione F Av...
                                                                                                             
                                                                                            
                                    Pagina 20 - Finire il lavoro; Conteggio a salire (Conteggio; notificato che il numero impostato di viti
                                                                                                                        21 IT PRIMA DELL ’USO PREP ARAZIONE FUNZIONAMENT O AL TRI Finire il lavoro Impostare la levetta avanti/ indietro sulla posizione di blocco dell’interruttore a grilletto. Impostarla sulla posizione “ ○ ”. Posizione ○ Spegnere l’interruttore di alimentazione dell’adattatore di alimentazione, o scolleg...
                                                                                                             
                                                                                            
                                    Pagina 21 - FUNZIONI DI IMPOSTAZIONE DI UTENSILE (MODALITÀ DI IMPOSTAZIONE); Commutazione alla modalità di impostazione; Questa unità può modificare le impostazioni in base al lavoro.; Selezione del menu; Pulsante ▼; Modalità di; Commutazione alla modalità di
                                                                                                                        22 IT FUNZIONI DI IMPOSTAZIONE DI UTENSILE (MODALITÀ DI IMPOSTAZIONE) 1. Commutazione alla modalità di impostazione Questa unità può modificare le impostazioni in base al lavoro. Per modificare le impostazioni, passare alla modalità di impostazione. 2. Selezione del menu Pulsante ▼ Pulsante ▲ Displa...
                                                                                                             
                                                                                            
                                    Pagina 22 - Menu impostazioni di base
                                                                                                                        23 IT PRIMA DELL ’USO PREP ARAZIONE FUNZIONAMENT O AL TRI Al Menu conteggio (c + Numero) Al menu utility (u + Numero) ■ Menu conteggio (c + Numero) Display Descrizione Pagina di riferimento Impostazione quantità conteggio 25 Impostazione metodo di conteggio 26 Impostazione conteggio ritorni 27 Impos...
                                                                                                             
                                                                                            
                                    Pagina 23 - Ripristino utensile; impostazioni predefinite del produttore.; Passare alla modalità di
                                                                                                                        24 IT FUNZIONI DI IMPOSTAZIONE DI UTENSILE (MODALITÀ DI IMPOSTAZIONE) (cont.) Ripristino utensile (Impostazione inizializzazione) Riportare le impostazioni utensile alle impostazioni predefinite del produttore. Per abilitare questa funzione, impostare “ b4 Impostazione autorizzazione ripristino uten...
                                                                                                             
                                                                                            
                                    Pagina 24 - Impostazione quantità conteggio; riceve una notifica con un cicalino e; La quantità conteggio appare sul display; i pulsanti ▲ e ▼, quindi
                                                                                                                        25 IT PRIMA DELL ’USO PREP ARAZIONE FUNZIONAMENT O AL TRI MENU CONTEGGIO (c + NUMERO) c1 Impostazione quantità conteggio Viene impostato il numero di viti da serrare. Il numero di viti serrate determinato come OK viene conteggiato e, quando raggiunge la quantità impostata, si riceve una notifica con...
                                                                                                             
                                                                                            
                                    Pagina 25 - Impostazione metodo di conteggio; salire fino al valore
                                                                                                                        26 IT MENU CONTEGGIO (c + NUMERO) (cont.) c2 Impostazione metodo di conteggio È possibile commutare i metodi di conteggio per il serraggio delle viti. 1 , 2 … Modalità conteggio a salire 3 , 2 … Modalità conto alla rovescia ■ Procedura di impostazione Passare alla modalità di impostazione. Impostare...
                                                                                                             
                                                                                            
                                    Pagina 26 - Impostazione conteggio ritorni; oltre il valore predefinito.
                                                                                                                        27 IT PRIMA DELL ’USO PREP ARAZIONE FUNZIONAMENT O AL TRI c3 Impostazione conteggio ritorni È possibile impostare il modo in cui le viti serrate determinate come OK vengono contate durante le rotazioni all’inverso per rieseguirle o allentarle. Quando è impostato su “_1” 2 La 2ª vite viene rieseguita...
                                                                                                             
                                                                                            
                                    Pagina 27 - Impostazione autorizzazione ripristino quantità; i pulsanti ▼ e ▲ allo stesso tempo,; i pulsanti ▼ e ▲ allo
                                                                                                                        28 IT MENU CONTEGGIO (c + NUMERO) (cont.) c4 Impostazione autorizzazione ripristino quantità È consentito un ripristino manuale della quantità conteggio. Quando è impostato su “_1”, è possibile ripristinare il conteggio tenendo premuti i pulsanti ▼ e ▲ allo stesso tempo, senza dover attendere la fin...
                                                                                                             
                                                                                            
                                    Pagina 28 - Impostazione tempo valutazione da ignorare
                                                                                                                        29 IT PRIMA DELL ’USO PREP ARAZIONE FUNZIONAMENT O AL TRI c5 Impostazione tempo valutazione da ignorare È possibile escludere dal rilevamento le rotazioni impreviste che non sono correlate al funzionamento, come un breve periodo al minimo e l’allineamento al foro della vite in modalità avvio a press...
                                                                                                             
                                                                                            
                                    Pagina 29 - Impostazione tempo conteggio da ignorare
                                                                                                                        30 IT MENU CONTEGGIO (c + NUMERO) (cont.) c6 Impostazione tempo conteggio da ignorare È possibile impostare le viti in modo che non vengano conteggiate anche se sono nuovamente serrate dopo essere state determinate come OK. Impostare la durata del serraggio da escludere dal conteggio dopo che il ser...
                                                                                                             
                                                                                            
                                    Pagina 30 - Impostazione tempo di attesa valutazione batch completo; Le rotazioni in avanti non sono
                                                                                                                        31 IT PRIMA DELL ’USO PREP ARAZIONE FUNZIONAMENT O AL TRI c7 Impostazione tempo di attesa valutazione batch completo È possibile impostare il tempo di attesa da quando il serraggio dell’ultima vite viene determinato come OK a quando viene determinato come conteggio a salire (conteggio completo). Dur...
                                                                                                             
                                                                                            
                                    Pagina 31 - Impostazione del tempo di avvio graduale e inserimento graduale; Che cos’è avvio graduale?; Che cos’è l’inserimento graduale?; durata
                                                                                                                        32 IT MENU UTILITY (u + NUMERO) u1 Impostazione del tempo di avvio graduale e inserimento graduale La durata di avvio graduale e il tempo di avvio di inserimento graduale possono essere impostati. La velocità di avvio graduale e la velocità di inserimento graduale devono essere impostate in “ u2 Imp...
                                                                                                             
                                                                                            
                                    Pagina 32 - Impostazione livello di velocità di avvio graduale; A causa della struttura del motore, è; L’impostazione predefinita è “10”.
                                                                                                                        33 IT PRIMA DELL ’USO PREP ARAZIONE FUNZIONAMENT O AL TRI u2 Impostazione livello di velocità di avvio graduale La velocità di avvio graduale può essere impostata. La durata di avvio graduale deve essere impostata in “ u1 Impostazione del tempo di avvio graduale e inserimento graduale”. P. 32 • A ca...
                                                                                                             
                                                                                            
                                    Pagina 33 - Impostazione livello di velocità di inserimento graduale; A causa della struttura del motore,; Livello di velocità di inserimento graduale (Rotazioni/minuto)
                                                                                                                        34 IT MENU UTILITY (u + NUMERO) (cont.) u3 Impostazione livello di velocità di inserimento graduale È possibile impostare la velocità di inserimento graduale.L’ora di avvio di inserimento graduale deve essere impostata in “ u1 Impostazione del tempo di avvio graduale e inserimento graduale”. P. 32 •...
                                                                                                             
                                                                                            
                                    Pagina 34 - Impostazione del rilevamento basato sul tempo di rotazione; L’impostazione del limite inferiore non; limite inferiore; premendo i pulsanti ▲ e ▼.; limite superiore
                                                                                                                        35 IT PRIMA DELL ’USO PREP ARAZIONE FUNZIONAMENT O AL TRI u4 Impostazione del rilevamento basato sul tempo di rotazione È possibile determinare se una vite è stata serrata correttamente o meno in base al tempo di rotazione impiegato per serrare la vite. Impostare i limiti inferiore e superiore per i...
                                                                                                             
                                                                                            
                                    Pagina 35 - Impostazione arresto rotazione automatico; Questa opzione è efficace in un processo in cui è
                                                                                                                        36 IT MENU UTILITY (u + NUMERO) (cont.) u5 Impostazione arresto rotazione automatico La rotazione può essere interrotta automaticamente una volta trascorso il tempo impostato. Questa opzione è efficace in un processo in cui è necessario arrestare la rotazione senza effettuare l’inserimento graduale ...
                                                                                                             
                                                                                            
                                    Pagina 36 - Impostazione disabilitazione del tempo di serraggio
                                                                                                                        37 IT PRIMA DELL ’USO PREP ARAZIONE FUNZIONAMENT O AL TRI u6 Impostazione disabilitazione del tempo di serraggio È possibile impostare l’utensile in modo che non si avvii durante il tempo impostato dopo che il serraggio è stato determinato come OK. • Quando sia “ c6 Impostazione tempo conteggio da i...
                                                                                                             
                                                                                            
                                    Pagina 37 - Modalità cronometro; In modalità cronometro, il rilevamento del; Operazioni mentre si è in modalità cronometro
                                                                                                                        38 IT MENU UTILITY (u + NUMERO) (cont.) u7 Modalità cronometro È possibile misurare i valori massimo e minimo del tempo di rotazione del serraggio della vite. Eseguire diverse misurazioni perché vi sono variazioni nei valori misurati a causa della lunghezza della vite e della velocità di rotazione. ...
                                                                                                             
                                                                                            
                                    Pagina 39 - rosso fisso; Impostazione cicalino
                                                                                                                        40 IT MENU NOTIFICA (n + NUMERO) (cont.) n3 Impostazione schema illuminazione spia È possibile impostare lo schema di illuminazione della spia di rilevamento per gli eventi di serraggio NG (NOK) ed errore. ■ Procedura di impostazione Passare alla modalità di impostazione. Impostare la levetta avanti...
                                                                                                             
                                                                                            
                                    Pagina 40 - Impostazione freno
                                                                                                                        41 IT PRIMA DELL ’USO PREP ARAZIONE FUNZIONAMENT O AL TRI MENU IMPOSTAZIONI DI BASE (b + NUMERO) b1 Impostazione freno È possibile abilitare o disabilitare la frenata quando la rotazione si arresta prima dell’attivazione della frizione. ■ Procedura di impostazione Passare alla modalità di impostazio...
                                                                                                             
                                                                                            
                                    Pagina 42 - pulsante ▼ e il pulsante ▲ allo stesso; OK, il pulsante ▼ e il
                                                                                                                        43 IT PRIMA DELL ’USO PREP ARAZIONE FUNZIONAMENT O AL TRI b4 Impostazione autorizzazione ripristino utensile È consentito un ripristino utensile.Quando lo si imposta su “_1”, è possibile inizializzare l’utensile tenendo premuto il pulsante OK, il pulsante ▼ e il pulsante ▲ allo stesso tempo in modal...
                                                                                                             
                                                                                            
                                    Pagina 43 - COME UTILIZZARE IL CAVO DI COMUNICAZIONE; Collegamento del cavo di
                                                                                                                        44 IT COME UTILIZZARE IL CAVO DI COMUNICAZIONE Collegando un cavo di comunicazione venduto separatamente, è possibile eseguire la trasmissione e la ricezione dei dati con dispositivi esterni come un PLC.Quando si collega o si scollega il cavo, spegnere l’interruttore di alimentazione dell’adattatore...
                                                                                                             
                                                                                            
                                    Pagina 44 - Segnali di ingresso/uscita; Colore; salire”. Selezionare uno dei due tramite “
                                                                                                                        45 IT PRIMA DELL ’USO PREP ARAZIONE FUNZIONAMENT O AL TRI Segnali di ingresso/uscita Colore del filo Ingresso/ Uscita Nome del segnale Osservazione Rosso Uscita Segnale serraggio OK Mettere in uscita quando il serraggio è OK. (fisso per 0,5 s) Blu Uscita Segnale serraggio NG (NOK) Mettere in uscita ...
                                                                                                             
                                                                                            
                                    Pagina 45 - Tempi del segnale
                                                                                                                        46 IT COME UTILIZZARE IL CAVO DI COMUNICAZIONE (cont.) Tempi del segnale N = 1/2 Attivazione frizione N = 1/2 Attivazione frizione Serraggio (in avanti) Serraggio (in avanti) Allentamento (retromarcia) Esempio di lavoro reale • Lavoro completato con due viti. • L’allentamento viene inserito una volt...
                                                                                                             
                                                                                            
                                    Pagina 46 - Schemi dei circuiti interni; All’interno
                                                                                                                        47 IT PRIMA DELL ’USO PREP ARAZIONE FUNZIONAMENT O AL TRI Schemi dei circuiti interni Rosso: segnale serraggio OK Blu: segnale serraggio NG (NOK) Segnale conteggio a salire Giallo: segnale motore in marcia avanti Viola: segnale motore in retromarcia Verde: segnale di autorizzazione azionamento Azzur...
                                                                                                             
                                                                                            
                                    Pagina 47 - Informazioni; Circuito di ingresso; Si tratta di un circuito di ingresso per fotoaccoppiatore.; Circuito di uscita; Si tratta di un circuito a collettore aperto.; Circuito di ingresso/uscita
                                                                                                                        48 IT COME UTILIZZARE IL CAVO DI COMUNICAZIONE (cont.) Informazioni ■ Circuito di ingresso • Si tratta di un circuito di ingresso per fotoaccoppiatore. • La tensione deve essere 24 V CC ± 10%. • Assorbe una corrente di circa 5 mA per ciascun ingresso. ■ Circuito di uscita • Si tratta di un circuito ...
                                                                                                             
                                                                                            
                                    Pagina 48 - CAPACITÀ E SPECIFICHE; Capacità utensile; In base alle nostre condizioni di misurazione specificate.; Specifiche utensile
                                                                                                                        49 IT PRIMA DELL ’USO PREP ARAZIONE FUNZIONAMENT O AL TRI CAPACITÀ E SPECIFICHE Capacità utensile Modello n. EYADA112XC EYADA212XC EYADA218XC EYADA407XC Lavori consigliati Avvitatura a macchina: Da M2 a M3,5 Avvitatura a macchina: Da M2,5 a M4,5 Avvitatura a macchina: Da M2,5 a M4 Avvitatura a macch...
                                                                                                             
                                                                                            
                                    Pagina 49 - Specifiche dell’adattatore di alimentazione
                                                                                                                        50 IT CAPACITÀ E SPECIFICHE (cont.) Notifica (spia) Display a 5 colori (Spia di rilevamento) Notifica (cicalino) 3 livelli di volume Impostazioni per il conteggio quantità • Metodo di conteggio • Conteggio ritorni • Azzeramento conteggio • Tempo di valutazione da ignorare • Tempo conteggio da ignora...
                                                                                                             
                                                                                            
                                    Pagina 50 - PULIZIA E CONSERVAZIONE; Pulizia; Pulizia con un panno morbido; Scollegare la spina di alimentazione; Esecuzione dell’ispezione; Ispezionare periodicamente per verificare; Conservazione; Evitare le seguenti condizioni; infiammabili
                                                                                                                        51 IT PRIMA DELL ’USO PREP ARAZIONE FUNZIONAMENT O AL TRI PULIZIA E CONSERVAZIONE Pulizia ■ Pulizia con un panno morbido Scollegare la spina di alimentazione dalla presa, rimuovere il cavo cacciavite dall’utensile, quindi pulirlo con un panno morbido e asciutto. Non utilizzare panni bagnati, diluent...
                                                                                                             
                                                                                            
                                    Pagina 51 - CODICI DI ERRORE; Premendo il pulsante OK si cancella il display di errore.; che si raffreddi prima dell’uso.
                                                                                                                        52 IT CODICI DI ERRORE In caso di problemi, un codice di errore lampeggia sul display dell’utensile. Consultare la tabella seguente e intraprendere le azioni necessarie. • Da [E0] a [E7] Premendo il pulsante OK si cancella il display di errore. • Da [EE] e [F2] a [Fb]: Premere il pulsante OK. Oppure...
                                                                                                             
                                                                                            
                                    Pagina 52 - Tenere l’utensile in azione fino
                                                                                                                        53 IT PRIMA DELL ’USO PREP ARAZIONE FUNZIONAMENT O AL TRI ■ Codici di errore per gli errori che si verificano durante il lavoro. Display Causa possibile Azione Durante un processo di serraggio, l’utensile è stato arrestato prima dell’attivazione della frizione. Non ci sono problemi nel prodotto. Ten...
                                                                                                             
                                                                                            
                                    Pagina 53 - ELENCO MODALITÀ DI IMPOSTAZIONE
                                                                                                                        54 IT ELENCO MODALITÀ DI IMPOSTAZIONE Serie c conteggio (impostazioni relative al conteggio quantità) c1 Impostazione quantità conteggio P. 25 - - OFF 01 1 vite 02 2 viti ~ 99 99 viti c2 Impostazione metodo di conteggio P. 26 _ 1 Modalità conto alla rovescia _ 2 Modalità conteggio a salire c3 Impost...
                                                                                                             
                                                                                            
                                    Pagina 55 - INDICE; Effettuare l’arresto automatico
                                                                                                                        56 IT INDICE A Adattatore di alimentazione .......... 12, 16 Avanti ............................................ 13, 20 Avvio graduale .................................... 32 Azzeramento manuale del conteggio ....................................... 28 B Blocco dell’interruttore a grilletto ........ ...
                                                                                                             
                                                                                            
                                    Pagina 57 - Smaltimento di vecchie apparecchiature e batterie usate; urbani ma deve essere effettuata una raccolta separata.; [Per utenti commerciali nell’Unione Europea]; sulle modalità per un corretto smaltimento.
                                                                                                                        58 IT Smaltimento di vecchie apparecchiature e batterie usate Solo per Unione Europea e Nazioni con sistemi di raccolta e smaltimento Questi simboli sui prodotti, sull’imballaggio e/o sulle documentazioni o manuali accompagnanti i prodotti indicano che i prodotti elettrici, elettronici e le batterie...