Ikea OV G305 S- Manuale d'uso

Ikea OV G305 S

Ikea OV G305 S– Manuale d'uso, leggi gratuitamente online in formato PDF. Speriamo che questo ti aiuti a risolvere eventuali dubbi. Se hai ulteriori domande, contattaci tramite il modulo di contatto.

1 Pagina 1
2 Pagina 2
3 Pagina 3
4 Pagina 4
5 Pagina 5
6 Pagina 6
7 Pagina 7
8 Pagina 8
9 Pagina 9
10 Pagina 10
11 Pagina 11
12 Pagina 12
13 Pagina 13
14 Pagina 14
15 Pagina 15
16 Pagina 16
17 Pagina 17
18 Pagina 18
19 Pagina 19
20 Pagina 20
21 Pagina 21
22 Pagina 22
23 Pagina 23
24 Pagina 24
25 Pagina 25
26 Pagina 26
Pagina: / 26

Indice:

  • Pagina 7 – Descrizione del prodotto; Accessori
  • Pagina 9 – Per accendere il forno si deve impostare la durata
  • Pagina 12 – Tabelle di cottura
  • Pagina 14 – Pulizia e manutenzione; PULIZIA
  • Pagina 18 – Dati tecnici; Zona della teglia da forno più grande (superficie netta) cm
  • Pagina 19 – Installazione
  • Pagina 21 – Preoccupazioni ambientali; unicamente da personale qualificato. Contattare il; Collegamenti elettrici
  • Pagina 22 – GARANZIA IKEA; che non influiscono sul normale uso
Caricamento dell'istruzione

LÄTTSKÖTT

HYGIENISK

IT

DE

GB

FR

"Caricamento dell'istruzione" significa che è necessario attendere finché il file non è caricato e pronto per la lettura online. Alcune istruzioni sono molto grandi e il tempo di caricamento dipende dalla velocità della tua connessione a Internet.

Sommario

Pagina 7 - Descrizione del prodotto; Accessori

ITALIANO 75 Descrizione del prodotto Accessori Griglia 2x Piastra dolci 1x Leccarda 1x 1 Pannello comandi 2 Ventola di raffreddamento 1) (non visibile) 3 Protezione grill 2) 4 Resistenza superiore/Grill 5 Lampada posteriore 6 Ventola forno 7 Resistenza inferiore (non visibile) 8 Porta del forno 1) L...

Pagina 9 - Per accendere il forno si deve impostare la durata

ITALIANO 77 A Spia rossa Blocca Porta (solo durante la pirolisi). B Manopola selezione funzioni C Manopola programmatore durata di cottura D Manopola termostato E Spia rossa termostato Pannello comandi Uso quotidiano A B C D E Per accendere il forno si deve impostare la durata della cottura.Funziona...

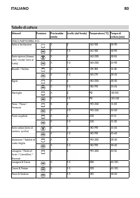
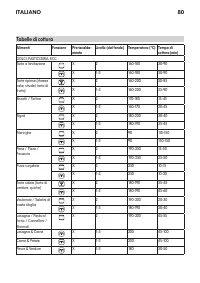
Pagina 12 - Tabelle di cottura

ITALIANO 80 Alimenti Funzione Preriscalda- mento Livello (dal fondo) Temperatura (°C) Tempo di cottura (min) DOLCI, PASTICCERIA, ECC. Torte a lievitazione X 2 160-180 30-90 X 1-3 160-180 30-90 Torte ripiene (cheese cake, strudel, torta di frutta) X 2 160-200 30-85 X 1-3 160-200 35-90 Biscotti / Tort...

Altri modelli di Ikea

Tutti i altri Ikea