Miele PWM 912 [SD DV DD] - Istruzioni

Miele PWM 912 [SD DV DD] - Manuale d'uso, Manuale, Manuale di installazione in formato PDF online
Istruzioni:
Manuale d'uso Miele PWM 912 [SD DV DD]
























































































































































































































































































































































































































































































































































































Sommario
it - Indice 305 Elenco programmi ........................................................................................................................ 307 Opzioni selezionabili ..................................................................................................................... 30...
it - Elenco programmi 307 Opzioni selezionabili Opzione Simbolo Descrizione Prerisciacquo Prerisciacquo prima che si avviino i processi di lavaggio Prelavaggio Prelavaggio prima dell'inizio del lavaggio principale Ammollo Blocco all'inizio del lavaggio principale, 30 °C, movimentoridotto +Acqu...
it - Elenco programmi 308 Elenco Programmi base La durata del lavaggio è la durata nel lavaggio principale in cui minimo viene effettuato il lavaggio dopo il raggiungimento della temperatura impostata. Le durate per l'afflusso idri-co, il dosaggio, il riscaldamento, la centrifuga intermedia e altri ...
it - Elenco programmi 309 Programmi Cotone colorato Cotone colorato 60 °C (da fredda a 60 °C) Rapporto di carico/Quantità di carico Tipo di tessuto Capi normalmente sporchi in cotone, lino o fibremiste, ad es. lenzuola e capi in spugna 1:9 PWM 912 – 12 kgPWM 916 – 16 kg PWM 920 – 20 kg Svolgimento d...
it - Elenco programmi 310 Programmi Lava/indossa Lava/indossa 40 °C (da fredda a 60 °C) Rapporto di carico/Quantità Tipo di tessuto Capi normalmente sporchi in fibra sintetica, fibremiste 1.20 PWM 912 – 5,6 kg PWM 916 – 7 kg PWM 920 – 9 kg Svolgimento delprogramma Lavaggio principale fino a 60 °C, d...
it - Elenco programmi 311 Programmi Delicati/Camicie/Lana Delicati 30 °C (da fredda a 60 °C) Rapporto di carico/Quantità Tipo di tessuto Fibre sintetiche, rayon 1.25 PWM 912 – 4,4 kg PWM 916 – 5,6 kg PWM 920 – 7,2 kg Svolgimento delprogramma Lavaggio principale fino a 60 °C, durata di lavag-gio 12 m...
it - Elenco programmi 312 Programma Risciacquo extra Risciacquo extra Rapporto di carico/Quantità Tipo di tessuto Capi che devono essere solamente risciacquati ecentrifugati 1:9 PWM 912 – 12 kgPWM 916 – 16 kg PWM 920 – 20 kg Svolgimento delprogramma 1 ciclo di risciacquoCentrifuga finale Opzioni Sto...
it - Elenco programmi 313 Programma Pulizia macchina Pulizia macchina 70 °C (da 70 °C a 90 °C) Tipo di tessuto Senza carico Svolgimento delprogramma + Tasto Intenso: lavaggio principale aggiuntivo fino a 90 °C, durata di lavaggio 6 min.2 cicli di risciacquoScarico idrico Opzioni Ammollo, +Acqua, I...
it - Elenco programmi 314 Elenco programmi - Hotel/Ristorante/Catering In questo settore ci sono molti capi con diversi tipi di sporco. Questi programmi si prestanoper lavare biancheria e asciugamani con sporco leggero, tovaglie sporche e biancheria dacucina molto sporca. Programma Lenzuola/asciugam...
it - Elenco programmi 315 Programma Spugne Wellness Spugne Wellness 50 °C (da fredda a 90 °C) Rapporto di carico/Quantità di carico Tipo di tessuto Capi in spugna bianchi e colorati in cotone, lino ofibre miste che presentano sporco ostinato di olie grassi 1:13* PWM 912 – 8,6 kg PWM 916 – 10,8 kg PW...
it - Elenco programmi 316 Programma Biancheria da cucina Biancheria da cucina 90 °C (da fredda a 90 °C) Rapporto di carico/Quantità Tipo di tessuto Biancheria da cucina in cotone, lino o fibre miste 1.13 PWM 912 – 8,6 kg PWM 916 – 10,8 kg PWM 920 – 13,8 kg Svolgimento delprogramma PrerisciacquoLavag...
it - Elenco programmi 317 Elenco programmi Piumoni/Tende Programmi Tende Tende 40 °C (da fredda a 60 °C) Rapporto di carico/Quantità Tipo di tessuto Fibre sintetiche, rayon 1.25 PWM 912 – 4,4 kg PWM 916 – 5,6 kg PWM 920 – 7,2 kg Svolgimento delprogramma Lavaggio principale fino a 60 °C, durata di la...
it - Elenco programmi 318 Programmi Piumoni Questi programmi sono adatti per lavare piumoni con imbottitura in piuma, imbottitura sin-tetica o in fibre naturali. Questi programmi di lavaggio devono essere usati esclusivamente per lavare capi e tes-suti che il produttore ha dichiarato lavabili in acq...
it - Elenco programmi 319 Quantità di carico piumoni Le quantità massime di carico sono elencate nella seguente tabella. I valori sono indicativi,perché dipendono anche dalle dimensioni e dallo spessore dei piumoni. Modello Quantità* PWM 912 2 cuscini o 1 piumone PWM 916 3 cuscini o 1 cuscino + 1 pi...
it - Elenco programmi 320 In generale sul tema disinfezione Cosa si intende per “disinfezione” Soppressione e quindi riduzione del numero di agenti patogeni che trasmettono malattie in-fettive in modo da escludere possibilità di trasmissione e infezione. Disinfezione termica La disinfezione termica ...
it - Elenco programmi 321 Elenco VAH VAH = (Associazione tedesca di igiene applicata)(in precedenza: DGHM = Istituto tedesco di igiene e microbiologia) Questo elenco riporta i procedimenti ritenuti validi invece per la disinfezione di routine, a ti-tolo di profilassi per prevenire infezioni in ambit...
it - Elenco programmi 322 Elenco programmi Disinfezione Disinfezione termica e la Disinfezione termochimica sono programmi per la disinfezione dei capi.Vengono eseguite una disinfezione termica e/o una disinfezione termochimica. La disinfe-zione termochimica richiede l'utilizzo di detersivi adeguati...
it - Elenco programmi 324 Dis.termochi-mica 20 min. 40 °C Rapporto di carico/Quantità Tipo di tessuto Cotone, fibre miste, tende 1.10 PWM 912 – 11 kg PWM 916 – 14 kg PWM 920 – 18 kg Svolgimento delprogramma Disinfezione 40 °C*, Tempo di mantenimento20 min.Ritmo di lavaggio "delicato"3 cicli ...
it - Elenco programmi 325 Elenco programmi Imprese di pulizia Questi programmi sono adatti per lavare, disinfettare e impregnare (con differenti livelli diumidità) panni di pulizia in cotone o fibre miste, zerbini, feltri per lucidatrici e altre microfi-bre utilizzate dalle imprese di pulizia. I pan...
it - Elenco programmi 326 Programmi Mop Per evitare che lo sporco grossolano giunga in macchina, sbattere i mop prima di introdurlinel cesto. Mop, standard 60 °C (da fredda a 90 °C) Rapporto di carico/Quantità Tipo di tessuto Panni in cotone, viscosa, poliestere, microfibra 1:9 PWM 912 – 12 kgPWM ...
it - Elenco programmi 327 Mop disinfez. termica 90 °C Rapporto di carico/Quantità Tipo di tessuto Panni in cotone, viscosa, poliestere, microfibra 1:9 PWM 912 – 12 kgPWM 916 – 16 kg PWM 920 – 20 kg Per il numero v. tabella "Quantità carico mop" Svolgimento delprogramma Centrifuga preliminare...
it - Elenco programmi 329 Mop dis.ter. ch.20m.+rtu 60 °C Rapporto di carico/Quantità Tipo di tessuto Panni in cotone, viscosa, poliestere, microfibra 1.10 PWM 912 – 11 kg PWM 916 – 14 kg PWM 920 – 18 kg Svolgimento delprogramma Svolgimento programma come Mop, disinfezionetermochimica Disinfezione*,i...
it - Elenco programmi 330 Il programma Mop rtu è adatto a impregnare in un secondo momento i mop puliti e asciut- ti. Durante questa operazione viene aggiunta una soluzione disinfettante.È necessario impostare il dosaggio localmente e verificare lo standard di disinfezione. La quantità di carico mop...
it - Elenco programmi 331 Programmi tappetini e pads/dischi Tappetini 40 °C (da fredda a 60 °C) Rapporto di carico/Quantità Tipo di tessuto Zerbini 1.15 PWM 912 – max. 7,4 kg PWM 916 – max. 9,4 kg PWM 920 – max. 12 kg Svolgimento delprogramma PrerisciacquoLavaggio principale fino a 60 °C, durata di ...
it - Elenco programmi 332 Programmi Panni Questi programmi sono adatti per lavare, disinfettare e impregnare (con differenti livelli diumidità) panni di pulizia in cotone o fibre miste utilizzati dalle imprese di pulizia. Panni, standard 60 °C (da fredda a 90 °C) Rapporto di carico/Quantità Tipo di ...
it - Elenco programmi 333 Panni disinf. termochimica 90 °C Rapporto di carico/Quantità Tipo di tessuto Panni in cotone, viscosa, poliestere, microfibra 1.18 PWM 912 – 6,0 kg PWM 916 – 8,0 kg PWM 920 – 10 kg Numero v. tabella "Quantità carico panni" Svolgimento delprogramma PrerisciacquoPrela...
it - Elenco programmi 335 Panni rtu Rapporto di carico/Quantità Tipo di tessuto Panni in cotone, viscosa, poliestere, microfibra 1.18 PWM 912 – 6,0 kg PWM 916 – 8,0 kg PWM 920 – 10 kg Numero v. tabella "Quantità carico panni" Svolgimento delprogramma 1 ciclo di risciacquoinfine impostare l'u...
it - Elenco programmi 336 Elenco programmi Vigili del fuoco Questi programmi sono adatti al lavaggio e all'impermeabilizzazione di tute ignifughe deivigili del fuoco in Nomex, giacche e pantaloni, maschere respiratorie e indumenti di prote-zione per agenti chimici. Programmi Abbigliamento protettivo...
it - Elenco programmi 337 Preparare Abbigl. protettivo per il lavaggio Non attaccare etichette agli indumenti da lavare. Rimuovere i moschettoni se possibile oppure infilarli in una tasca laterale e chiudere la ta-sca. Chiudere le chiusure in velcro oppure coprirle con nastro in velcro. Lava...
it - Elenco programmi 338 Programmi Maschere Maschere sono programmi per il lavaggio e la disinfezione di maschere respiratorie con elastico. Rovesciare gli elastici delle maschere, prima di caricarle in macchina, per proteggere le vi-siere. Inserire ogni maschera nell'apposito sacchetto protett...
it - Elenco programmi 339 Programmi Tute protettive contro gli agenti chimici CSA tute protettive è un programma per lavare le tute protettive dagli agenti chimici dei vigili del fuoco.Viene eseguita una disinfezione termochimica (60 °C/20 min) che richiede l'utilizzo di de-tersivi adeguati. CSA tut...
it - Elenco programmi 340 Programmi Abbigl. pronto intervento Elmetti * 60 °C (da fredda a 60 °C) Rapporto di carico/Quantità di carico Tipo di tessuto Elmetti dei vigili del fuoco PWM 912 – 3 elmetti PWM 916 – 4 elmetti PWM 920 – 5 elmetti Svolgimento delprogramma Prelavaggio fino a 40 °CLavaggio p...
it - Elenco programmi 341 Infilare 2–3 cinturoni nei sacchetti protettivi imbottiti adatti a questo impiego e chiudere isacchetti. I sacchetti protettivi possono essere richiesti all'assistenza tecnica Miele. Al termine del lavaggio, i cinturoni vengono asciugati all'aria aperta. I componenti in pel...
it - Elenco programmi 343 Elenco programmi WetCare Il “lavaggio ad acqua” WetCare è una procedura molto delicata che prevede l'uso di acquae detergenti specifici per abiti che finora era possibile pulire solo con agenti chimici. WetCare delicato 25 °C (da fredda a 30 °C) Rapporto di carico/Quantità ...
it - Elenco programmi 344 Elenco programmi Capi outdoor Capi outdoor 40 °C (da fredda a 40 °C) Rapporto di carico/Quantità Tipo di tessuto Poliammide e tessuti a membrana 1.15 PWM 912 – 7,4 kg PWM 916 – 9,4 kg PWM 920 – 12 kg Svolgimento delprogramma Lavaggio principale fino a 40 °C, durata di lavag...
it - Elenco programmi 345 Elenco programmi Maneggio Questo programma è adatto al lavaggio e all'impermeabilizzazione di coperte per cavalli,sottosella, gambali, scarpette per zoccoli, fasce, cavezze in tessuto. Coperte per cavalli 60 °C (da fredda a 60 °C) Rapporto di carico/Quantità di carico Tipo ...
it - Elenco programmi 346 Detersivo Per il lavaggio utilizzare un detersivo senza candeggianti e sbiancanti ottici.Per le coperte in lana, utilizzare prodotti con un valore di pH leggermente ridotto. Eventual-mente, utilizzare come additivo un prodotto che contiene enzimi.Fare attenzione ad evitare ...
it - Elenco programmi 347 Elenco programmi Sport Capi sport 40 °C (da fredda a 60 °C) Rapporto di carico/Quantità Tipo di tessuto Maglieria e pantaloni in fibre sintetiche o miste 1.20 PWM 912 – 5,6 kg PWM 916 – 7 kg PWM 920 – 9 kg Svolgimento delprogramma Lavaggio principale fino a 60 °C, durata di...
it - Elenco programmi 348 Elenco programmi Indumenti da lavoro Speciale olio/grasso 60 °C (da fredda a 90 °C) Rapporto di carico/Quantità Tipo di tessuto Abbigliamento da lavoro sporco di olio o grassi,panni di copertura o di pulizia in cotone o fibremiste 1.10 PWM 912 – 11 kg PWM 916 – 14 kg PWM 92...
it - Elenco programmi 352 Elenco programmi Recupero acqua (WRG) Pulizia WRG 80 °C Rapporto di carico/Quantità Svolgimento delprogramma SvuotareRisciacquoSvuotareLavaggioSvuotareRisciacquoSvuotare Vuotamento WRG fredda Svolgimento delprogramma Svuotare
it - Elenco programmi 353 Elenco programmi Eco I programmi Eco sono programmi facoltativi che possono essere scaricati da Internet. Cot. colorato Eco 40 °C (da fredda a 40 °C) Rapporto di carico/Quantità di carico Tipo di tessuto Capi leggermente sporchi in cotone, lino o fibremiste, ad es. lenzuola...
it - Elenco programmi 354 Lava/indossa Eco 30 °C (da fredda a 30 °C) Rapporto di carico/Quantità di carico Tipo di tessuto Capi leggermente sporchi in fibra sintetica, fibremiste 1:20 PWM 912 – 5,6 kg PWM 916 – 7 kg PWM 920 – 9 kg Svolgimento delprogramma Lavaggio principale fino a 30 °C, durata di ...
Manuale Miele PWM 912 [SD DV DD]






































































Sommario
Il Vostro contributo alla tutela dell'ambiente 2 Smaltimento imballaggio L'imballaggio protegge la lavatrice da danni durante il trasporto. Lediverse parti dell'imballaggio sono fatte con materiali conformi alla tu-tela dell'ambiente e sono pertanto riciclabili. Restituire gli imballaggi al circuito...
Indice 4 Il Vostro contributo alla tutela dell'ambiente ................................................................ 2 Indicazioni per la sicurezza e avvertenze ..................................................................... 8 Uso corretto .....................................................
Indice 6 Comandi e display............................................................................................................. 57 Lingua ............................................................................................................................ 57Accesso+scelta lingua ........
Indicazioni per la sicurezza e avvertenze 8 Questa lavatrice è conforme alle vigenti norme di sicurezza. Un usoimproprio può comunque causare danni a persone e/o cose. Prima di mettere in funzione la macchina leggere attentamente que-ste istruzioni d'uso; contengono informazioni importanti su incass...
Indicazioni per la sicurezza e avvertenze 9 Uso corretto La lavatrice deve essere usata solo per lavare capi e tessuti che il produttore ha dichiarato lavabili in acqua sull'etichetta. Qualsiasi altrouso può rivelarsi pericoloso. La casa produttrice non risponde di dan-ni causati da un uso diverso...
Indicazioni per la sicurezza e avvertenze 10 Evitare i seguenti errori Non utilizzare mai per nessun motivo in lavatrice detersivi conte- nenti solventi (ad es. benzina solvente). Questi prodotti potrebberodanneggiare dei componenti della macchina e generare vapori tossi-ci. Pericolo di esplosione...
Indicazioni per la sicurezza e avvertenze 11 Sicurezza tecnica Prima dell'installazione controllare che la macchina non presenti danni visibili esterni. Una lavatrice danneggiata non può essere instal-lata o messa in funzione. La sicurezza elettrica della lavatrice è garantita solo in presenza d...
Indicazioni per la sicurezza e avvertenze 12 Se la macchina viene utilizzata in un contesto professionale, rispet- tare le norme di sicurezza vigenti. Si consiglia di far controllare an-nualmente la macchina dall'assistenza tecnica Miele e di annotare gliesiti dei controlli in un libro di bordo de...
Indicazioni per la sicurezza e avvertenze 13 Impiego corretto Il carico massimo per la PWM 912 è di 12 kg, per la PWM 916 è di 16 kg e per la PWM 920 di 20 kg di biancheria asciutta. Carichi par-ziali per singoli programmi sono riportati al capitolo "Elenco program-mi". Prima della messa...
Indicazioni per la sicurezza e avvertenze 14 Non utilizzare né conservare nelle vicinanze della macchina benzi- na, petrolio o altri materiali facilmente infiammabili. Non utilizzare ilcoperchio della macchina come superficie di appoggio. Pericolo di incendio e di esplosione. Non appoggiare né c...
Indicazioni per la sicurezza e avvertenze 15 Cloro e possibili danni ai componenti L'uso del cloro (candeggina) aumenta la probabilità di danneggiare alcuni componenti della macchina. L'impiego di prodotti contenenti cloro, come p.es. ipoclorito di so- dio e candeggianti al cloro in polvere, può...
Indicazioni per la sicurezza e avvertenze 16 Accessori Gli unici accessori che possono essere montati o utilizzati sono quelli espressamente autorizzati da Miele. Se si montano o utilizzanoaltri accessori, il diritto alla garanzia e a prestazioni in garanzia per vizie/o difetti del prodotto decade...
Descrizione macchina (con cassetto detersivi) 17 Versioni di macchine con cassetto detersivi (WEK) ⑪ ⑥ ⑦ ⑧ ⑨ ⑩ ⑫ ① ② ③ ④ ⑤ ⑧ ⑬ ⑮ ⑭ ⑯ ⑰ ⑱ a Display v. cap. "Funzione comandi" b Interruttore di spegnimento di emer-genza v. cap. "Funzioni comandi" c Maniglia sportello d Sportello di car...
Descrizione macchina (con cassetto detersivi) 18 Versioni di macchine senza cassetto detersivi (WEK) ① ② ③ ④ ⑤ ⑥ ⑦ ⑧ ⑨ ⑩⑪ ⑦ ⑫ ⑭ ⑬ ⑮ ⑯ ⑰ a Display v. cap. "Funzione comandi" b Interruttore di spegnimento di emer-genza v. cap. "Funzioni comandi" c Maniglia sportello d Sportello di cari...
Modalità di utilizzo 19 Pannello comandi a Tasto sensore lingua Per selezionare la lingua del ge-store.Al termine del programma vienenuovamente visualizzata la lin-gua del gestore. b Tasto sensore indietro Consente di ritornare al livelloprecedente nel menù. c Display touch d Tasto sensore Start...
Modalità di utilizzo 20 Tasti sensore e display touch con tasti sensore I tasti sensore , e Start/Stop nonché i tasti sensore a display reagiscono al contatto. A ogni contatto è associato un segnale acu-stico. Il volume dell'acustica tasti può essere modificato o spento (v.cap. "Livello gest...
Modalità di utilizzo 23 Utilizzo della variante per lavanderie A seconda della programmazione, il menù di partenza può apparirediverso (v. cap. "Livello gestore", par. "Comandi"). L'uso semplificato è possibile grazie a una selezione rapida. Le per-sone che utilizzano la macchina non...
Preparare la biancheria per il lavaggio 24 Svuotare le tasche Svuotare tutte le tasche. Danni dovuti a corpi estranei. Chiodi, monete, graffette ecc. possono danneggiare sia la macchi-na che i tessuti.Prima di fare il bucato, controllare che nella biancheria non ci sianooggetti estranei e rimuov...
Preparare la biancheria per il lavaggio 25 Caricare la lavatrice Accendere la lavatrice con il tasto . Aprire lo sportello tirando la maniglia. Introdurre nel cesto la biancheria distesa, senza pressarla. Capi didiversa grandezza rafforzano l'effetto di lavaggio e si distribuisconomeglio dur...
Selezionare un programma 26 Accendere la lavatrice Premere il tasto . Selezionare un programma 11:02 Programmi Preferiti Gestore Guida Le possibilità per selezionare un programma sono diverse. È possibile selezionare un programma nel menù Programmi . Toccare il tasto sensore Programmi ...
Selezionare le impostazioni del programma 27 Selezionare carico Per consentire un dosaggio esterno in base al carico, per alcuni pro-grammi è possibile indicare il carico. Toccare il tasto sensore Peso . Immettere un valore valido per la quantità di carico. A display compare il menù Elenco . Sce...
Lavaggio con cassetto detersivi 28 Aggiunta di detersivo tramite il cassetto detersivi Per i programmi standard, versare il detersivo in polvere per il lavag-gio principale nella vaschetta e se lo si desidera, il detersivo per il prelavaggio nella vaschetta , l'ammorbidente nella vaschetta ant...
Lavaggio con cassetto detersivi 29 Candeggiante Candeggiare solo capi contrassegnati con il simbolo Δ . L'aggiunta di candeggiante liquido può avvenire solo nella vaschettapredisposta. Solo in questo modo si garantisce che il prodotto vengaintrodotto correttamente in macchina con il 2° ciclo di risc...
Lavaggio con cassetto detersivi 30 Dosaggio detersivo Dosaggio detersi-vo Evitare sovradosaggi perché provocano una maggiore formazione dischiuma. - Non usare detersivi fortemente schiumogeni. - Rispettare le indicazioni fornite dal produttore del detersivo. Il dosaggio dipende dai seguenti fattori:...
Avviare un programma - fine programma 31 Avviare il programma Quando si avvia un programma, lampeggia il tasto sensore Start/ Stop . Toccare il tasto sensore Start/Stop . Si blocca lo sportello (simbolo ) e si avvia il programma di lavaggio. Se è stato selezionato il posticipo avvio, questo scor...
Timer 32 Con il timer è possibile selezionare il tempo fino all'avvio del program-ma, l'ora di avvio programma oppure l'ora di fine programma. Impostare il timer Toccare il tasto sensore Timer . Selezionare l'opzione Fine alle , Avvio tra o Avvio alle . Impostare le ore e i minuti e conferma...
Guida guasti 33 Interruzione di corrente durante il procedimento di la-vaggio Spegnere la macchina. Spegnere l'interruttore principale dell'impianto (presente in loco). Chiudere i rubinetti (predisposti dal committente) dell'acqua o delvapore. Per prelevare la biancheria bisogna prima aprire m...
Guida guasti 34 Ruotare l'elemento di sblocco a vite esagonale cava con una chiaveTorx T 40 dando due rotazioni piene in senso antiorario (a sini- stra) . Suggerimento: Se si preme contro lo sportello, la rotazione dello sblocco d'emergenza ne viene facilitata. L'elemento di sblocco si trova contr...
Guida guasti 35 Assistenza tecnica In caso di guasti e anomalie rivolgersi all'assistenza tecnica Miele. Comunicare modello, n. di serie (SN) e n. mat. (Mat.-Nr.) Rilevare que-ste informazioni dalla targhetta dati. La targhetta dati è visibile a spor-tello di carico aperto in alto oppure sul lato po...
Cosa fare se... 36 Un aiuto in caso di anomalie La maggior parte dei guasti e delle anomalie che si verificano nell'uso quotidiano dellamacchina può essere eliminata personalmente. In molti casi è possibile risparmiare tempoe costi senza doversi necessariamente rivolgere all'assistenza tecnica. Le s...
Cosa fare se... 37 Risultato di lavaggio non soddisfacente Problema Causa e rimedio Se si usa un detersivo li-quido, la biancheria non ri-sulta pulita. I detersivi liquidi non contengono agenti sbiancanti. Nonriescono quindi a eliminare macchie di frutta, caffè o tè. Usare un detersivo in polvere ...
Cosa fare se... 38 Problemi generali con la lavatrice Problema Causa e rimedio Durante la centrifugazionela macchina si sposta. La macchina non è in bolla e i piedini non sono stati strettibene. Posizionare meglio la macchina e stringere il controdadodei piedini. Nel cassetto detersivi ri-mangono ...
Cosa fare se... 39 Possibili cause di un'elevata formazione di schiuma Problema Causa e rimedio Eccessiva formazione dischiuma durante il ciclo dilavaggio. Si utilizza un tipo di detersivo non adatto. Utilizzare solamente detersivo adatto alle lavatrici profes-sionali. I detersivi destinati all'us...
Cosa fare se... 40 Apertura/distensione di grossi capi di biancheria Problema Causa e rimedio Apertura/distensione digrossi capi di biancheriadurante la centrifuga Può verificarsi che grossi capi di biancheria si aprano/di-stendano durante la centrifuga. Si può evitare questo fenomeno con una ripr...
Pulizia e manutenzione 41 Eseguire le operazioni di pulizia e manutenzione dopo ogni uso del-la macchina. Per pulire la macchina non utilizzare pulitori a pressione né gettid'acqua. Pulire l'involucro, il pannello comandi e le parti in plastica con un panno morbido inumidito e un detergente deli...
Installazione 44 Posizionamento lavatrice La lavatrice deve essere installata solo dall'assistenza tecnica Mieleo una società autorizzata da Miele. Osservare le indicazioni riporta-te sullo schema di installazione. Questa lavatrice può essere utilizzata solo per biancheria che nonsia impregnata di s...
Installazione 45 Per facilitare la manutenzione Per facilitare successivi interventi di manutenzione da parte dell'assi-stenza tecnica, rispettare le misure/distanze minime indicate (compre-sa la distanza dal muro con accesso). Osservare assolutamente le misure minime di sicurezza e la distan-za d...
Installazione 46 Barre (sicurezza) per il trasporto Rimuovere le sicurezze di trasporto Le due barre di trasporto anteriori sono fissate rispettivamente con 3viti esagonali. La barra di trasporto posteriore è fissata con 4 viti esa-gonali. Le sicurezze di trasporto devono essere rimosse solo sul luo...
Installazione 47 Sul bordo inferiore della parete posteriore svitare le viti e togliere laparete posteriore. Per smontare le sicurezze di trasporto, svitare le viti esagonali. Conservare le barre di trasporto. Prima di trasportare eventualmen-te la macchina devono essere rimontate. Allacciamento...
Installazione 48 Indicazioni per la Svizzera Ai sensi della norma SIA 385.351 / EN 1717 e in base alle raccoman-dazioni della SSIGA montare un impeditore di riflusso. Per un impedi-tore di riflusso conforme alle norme rivolgersi a un idraulico specializ-zato in sanitari. Disposizioni per l'Austria P...
Installazione 50 Scarico idrico Scarico idrico AV sulla macchina DN 70, in loco manicotto DN 70. Portata di flusso breve 200 l/min.In caso di elevata pendenza di scarico è necessario predisporreun'aerazione del tubo affinché nel sistema di scarico della lavatricenon si formi del vuoto.. Deviazione ...
Opzioni 51 I programmi di lavaggio possono essere integrati con delle opzioni. Non si possono selezionare tutte le opzioni per ciascun programma.Un'opzione non consentita per un programma di lavaggio non vieneproposta. Selezionare opzioni Toccare il tasto sensore Opzioni . Scegliere una o più op...
Opzioni 52 Stop carico L'acqua viene scaricata prima dell'ultimo ciclo di risciacquo, il pro-gramma si ferma. Prodotti per trattamenti aggiuntivi come p.es. l'ami-do, possono essere aggiunti tramite il cassetto detersivi. Il programma prosegue con il tasto sensore Start/Stop .
Aspetti particolari nello svolgimento del programma 53 Centrifuga Velocità di centri-fugazione (centri-fuga finale) Nella selezione del programma si sceglie sempre il numero di giri otti-male in centrifuga per il programma di lavaggio visualizzato a display. La velocità finale di centrifuga può semp...
Modificare il programma 54 Cambiare programma Cambiare pro-gramma di lavag-gio Per far partire un altro programma è necessario prima interrompere eterminare quello in corso. Interrompere il programma Un programma può essere interrotto e terminato in qualsiasi momen-to. Toccare il tasto sensore Sta...
Modificare il programma 55 Aggiungere o prelevare biancheria Nei primi minuti dopo aver avviato il programma è possibile aggiun-gere oppure prelevare biancheria. 11:02 0:49 Cotonecolorato Stato Duratares. h Lavaggio Aggiungere biancheria Toccare il tasto sensore Aggiungere biancheria . Se a ...
Livello gestore 56 Aprire livello gestore Accendere la lavatrice. 11:02 Programmi Preferiti Gestore Guida Toccare il tasto sensore Gestore . A display compare il menù Livello gestore . Accesso tramite codice Il livello gestore deve essere aperto con un codice. Il codice è 000 (impostazio...
Livello gestore 57 Comandi e display Lingua Le indicazioni a display possono essere impostate in diverse lingue.Entrando nel sottomenù Lingua è possibile cambiare la lingua gesto-re impostata. Per un programma in corso è possibile modificare la lingua del gesto-re tramite il tasto sensore . Access...
Livello gestore 58 Orologio Dopo aver selezionato il formato dell'ora, impostare l'ora. Formato dell'ora - 24 h - 12 h - Nessuno impostare - È possibile impostare l'ora. Data Dopo aver scelto il formato della data è possibile impostare la data. Formato data - GG.MM.AAAA - AAAA.MM.GG - MM.GG.AAAA Dat...
Livello gestore 59 - Spegnimento dopo 15 minuti (impostazione di serie) - Spegnimento dopo 20 minuti - Spegnimento dopo 30 minuti Posticipo avvio L'indicazione del posticipo dell'avvio (timer) può essere attivata o di-sattivata. Impostazione di serie: on Memory Dopo l'avvio del programma la lavatric...
Livello gestore 60 Selezione programmi Comandi È possibile impostare i comandi della lavatrice come "Versione la-vanderia". L'uso semplificato è possibile grazie a una selezione rapi-da. Le persone che utilizzano la macchina non possono modificare iprogrammi preimpostati. Suggerimento: Esegu...
Livello gestore 62 Tecnica di procedimento Fase antipiega La fase antipiega serve a ridurre la formazione di pieghe nella bian-cheria al termine del programma. Al termine del programma il cestel-lo continua a ruotare per altri 30 minuti. È possibile aprire la lavatrice in qualsiasi momento. Impostaz...
Livello gestore 63 Afflusso acqua Prelavaggio Può essere selezionato il tipo di acqua per il prelavaggio. - fredda Per il prelavaggio affluisce solo acqua fredda. - calda Per il prelavaggio affluisce anche acqua calda.L'afflusso di acquacalda è consentito solo con una temperatura di lavaggio superio...
Dati tecnici 67 Dichiarazione di conformità UE Miele dichiara che questa lavatrice è conforme alla direttiva 2014/53/UE.Il testo completo della dichiarazione di conformità UE è disponibile ai seguenti indirizzi in-ternet: - Auf www.miele.it/it/professional/index.htm sotto "Prodotti", "Do...
Tutela della privacy WLAN 68 Tutela della privacy e sicurezza dei dati Non appena si attiva la funzione di connessione in rete e si collegal'apparecchiatura a internet, i seguenti dati vengono inviati al Cloud diMiele: - numero di fabbricazione dell'apparecchio - modello apparecchio e dotazione tecn...
Manuale di installazione Miele PWM 912 [SD DV DD]




















































































































































Sommario
it - Istruzioni di installazione *INSTALLATION* 125 Spiegazione delle istruzioni di sicurezza e avvertenze sullamacchina Leggere le istruzioni d'uso Leggere le istruzioni p.es. le istruzioni di installazione Attenzione, superfici molto calde Attenzione, tensione fino a 1000 Volt Messa a terra Colleg...
it - Istruzioni di installazione *INSTALLATION* 126 Posizionamento Trasportare la lavatrice con un carrello elevatore sul luogo di posizio-namento e rimuovere l'imballaggio. La lavatrice deve essere posizionata su una superficie piana, orizzon-tale e stabile in grado di sorreggere i pesi indicati (v...
it - Istruzioni di installazione *INSTALLATION* 127 Per garantire un funzionamento ineccepibile ed efficace in terminienergetici, la lavatrice deve essere posizionata in modo uniforme eorizzontale su tutti e quattro i piedini. In caso contrario aumentano iconsumi di acqua ed energia elettrica e la l...
it - Istruzioni di installazione *INSTALLATION* 128 La commutazione è da eseguirsi esclusivamente a cura dell'assi- stenza tecnica Miele o da tecnici autorizzati da Miele. Per farlo osser-vare le indicazioni di inversione di cablaggio indicate sullo schemaelettrico. La lavatrice può essere collega...
it - Istruzioni di installazione *INSTALLATION* 129 I raccordi devono poter sopportare la pressione dell'acqua. Aprire lentamente i rubinetti per verificare che gli allacciamenti sia-no ermetici. Eventualmente correggere la sede della guarnizione e ilraccordo. Indicazioni per laSvizzera Ai sensi d...
it - Istruzioni di installazione *INSTALLATION* 130 Per motivi funzionali e di tecnica d'impiego non è possibile l'esclusi-vo funzionamento ad acqua calda.La lavatrice deve essere allacciata a un afflusso di acqua fredda an-che in caso di allacciamento all'acqua calda. Valvola di scarico Sulle lavat...
it - Istruzioni di installazione *INSTALLATION* 131 Allacciamenti pompe di dosaggio sul lato posteriore macchina Gli allacciamenti 1 e 2 sono previsti per il dosaggio di paste e da utiliz- zarsi anche con gli impianti di dosaggio ad alta pressione con immis-sione dell'acqua. Gli impianti di dosaggio...
it - Istruzioni di installazione *INSTALLATION* 132 Opzioni/Accessori su richiesta Gli unici accessori che possono essere montati o utilizzati sonoquelli espressamente autorizzati da Miele.Se si montano o utilizzano altri accessori, il diritto alla garanzia e aprestazioni in garanzia per vizi e/o di...
it - Istruzioni di installazione *INSTALLATION* 133 Interfac-cia WLAN/LAN La lavatrice è dotata di un'interfaccia WLAN/LAN per lo scambio deidati. L'interfaccia dati fornita per l'allacciamento LAN è conforme a SELV(bassa tensione) secondo EN 60950. Il collegamento LAN avvienecon una spina RJ45 in c...
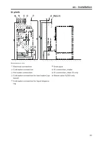
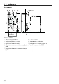
it - Installazione 136 Base SI Misure in millimetri a Allacciamento elettrico b Allacciamento acqua fredda c Allacciamento acqua calda d Allacciamento acqua fredda e dura (opzio-nale) e Allacciamento acqua fredda per dosaggioliquido l Tubo di scarico n Allacciamento SI, afflusso o Allacciamento SI, ...
it - Dati tecnici 145 Varianti di tensione e dati elettrici 3N AC 400 V SI/SD Tensione di allacciamento 3N AC 400 V Frequenza 50/60 Hz Protezione necessaria (a cura del committente) 16 A Potenza assorbita 2,3 kW Sezione minima cavo di alimentazione 1,5 mm² Allacciamento idrico Allacciamento acqua fr...
it - Dati tecnici 147 Dati di trasporto, peso e carico sul pavimento Varianti di macchine con cassetto detersivi (DD) Larghezza imballaggio 1210 mm Altezza imballaggio 1480 mm Profondità imballaggio 1130 mm Volume lordo 1823 l Peso lordo* 291 kg Peso netto* 272 kg Carico massimo sul pavimento durant...
Other Miele Altri Manuals
-
Miele APWM 063 Manuale di installazione
-
Miele APWM 020 Manuale d'uso
-
Miele APWM 020 Manuale di installazione
-
Miele SC Manuale di installazione
-
Miele PR Manuale di installazione
-
Miele FP 900 Manuale di installazione
-
Miele RP 900 Manuale di installazione
-
Miele APWM 019 Manuale d'uso
-
Miele APWM 019 Manuale di installazione
-
Miele PR 900 Manuale di installazione
-
Miele A 830/1 Manuale d'uso
-
Miele TT 86 Manuale d'uso
-
Miele RP 1150 Manuale di installazione
-
Miele APCL 001 Manuale di installazione
-
Miele E 473/2 Manuale d'uso
-
Miele FFK 01 Manuale di installazione
-
Miele FFK 01 Manuale
-
Miele DS 5 Manuale di installazione
-
Miele DS 10 Manuale di installazione
-
Miele DOS K 85 flex Manuale di installazione