Pagina 6 - ITALIANO; Smaltimento elettrodomestici
ITALIANO 51 - L'apparecchio è destinato esclusivamente ad uso domestico per la cottura di alimenti. Non sono consentiti altri usi (es. riscaldamento di ambienti). Il costruttore declina ogni responsabilità per usi non appropriati o per errate impostazioni dei comandi. - L'utilizzo dell'apparecchio n...
Pagina 7 - Accessori
ITALIANO 52 Descrizione del prodotto Accessori Griglia 1x Piastra dolci 1x Leccarda 1x Pannelli catalitici 2x 1 Pannello comandi 2 Ventola di raffreddamento 1) (non visibile) 3 Protezione Grill 2) 4 Resistenza superiore/grill 5 Lampada posteriore 6 Ventola forno 7 Resistenza inferiore (non visibile)...
Pagina 8 - Inserimento di griglie e altri accessori
ITALIANO 53 Inserimento di griglie e altri accessori all’interno del forno La griglia e gli altri accessori sono dotati di un sistema di blocco che ne evita l’estrazione involontaria. 1. Inserire la griglia orizzontalmente, con la parte rialzata “A” orientata verso l’alto (Fig. 1). Fig. 1 2. Inclina...
Pagina 9 - Attivazione del forno
ITALIANO 54 A Led, dispositivo automatico “blocca porta” B Manopola selezione funzioni C Tasto di programmazione: ("set") D Tasto di conferma (“ok”) E Tasti modifica valori tempo ("-""+") F Manopola termostato Pannello comandi Uso quotidiano A B C D E F Attivazione del forno ...
Pagina 10 - Per modificare la temperatura:
ITALIANO 55 raggiunta la temperatura selezionata. Per modificare la temperatura: 1. Ruotare la manopola F e selezionare di nuovo la temperatura desiderata. Avvertenze: per annullare una qualsiasi selezione effettuata, ruotare la manopola B sullo " 0 ". In alternativa premere il tasto “set”, ...
Pagina 11 - Mantenere in caldo
ITALIANO 56 6. Premere il tasto "ok" per confermare. 7. Allo scadere del tempo impostato il forno si spegne automaticamente, sul display appare ed entra in funzione un segnale acustico. Mantenere in caldo Permette di mantenere il forno ad una temperatura costante di 60°C. 1. Ruotare la manop...
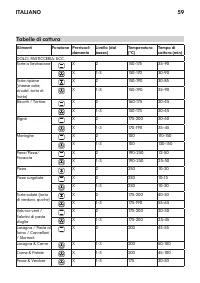
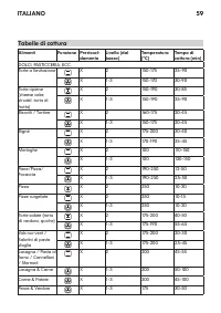
Pagina 14 - Alimenti; Tabelle di cottura
ITALIANO 59 Alimenti Funzione Preriscal- damento Livello (dal basso) Temperatura (°C) Tempo di cottura (min) DOLCI, PASTICCERIA, ECC. Torte a lievitazione X 2 150-175 35-90 X 1-3 150-170 30-90 Torte ripiene (cheese cake, strudel, torta di frutta) X 2 150-190 30-85 X 1-3 150-190 35-90 Biscotti / Tort...
Pagina 17 - MANUTENZIONE
ITALIANO 62 • Nel caso in cui il forno sia installato sotto ad un piano di cottura, accertarsi che durante il ciclo di autopulizia (pirolisi), i bruciatori o le piastre elettriche siano spente. • Gli accessori devono essere rimossi dall’apparecchio prima dell’attivazione della pirolisi. • In ogni ca...
Pagina 18 - Per riposizionare la porta
ITALIANO 63 Per riposizionare la porta 1. Inserire le cerniere nelle apposite sedi. 2. Aprire completamente la porta. 3. Abbassare le due levette di arresto. 4. Chiudere la porta Spostamento della resistenza superiore (solo per alcuni modelli) 1. Togliere le guide del forno (Fig.5). Fig. 5 2. Estrar...
Pagina 19 - Problema
ITALIANO 64 Cosa fare se ... Problema Possibile causa Soluzione Il forno non funziona: Alimentazione elettrica assente. Verificare che ci sia tensione in linea Il forno non è collegato alla rete elettrica. Collegare il forno alla rete elettrica. La manopola selezione funzioni viene impostata su "...
Pagina 20 - Prima di contattare il Servizio Assistenza:
ITALIANO 65 Prima di contattare il Servizio Assistenza: 1. Verificare che non sia possibile risolvere da soli il problema sulla base dei punti descritti nella tabella "Cosa fare se". 2. Spegnere e riaccendere l'apparecchio per accertarsi che l'inconveniente sia stato ovviato. Se dopo i sudde...
Pagina 22 - Predisposizione del mobile per incasso; Installazione
ITALIANO 67 Dopo aver disimballato il forno, controllare che l’apparecchio non sia stato danneggiato durante il trasporto e che la porta si chiuda perfettamente. In caso di problemi, contattare il rivenditore o il Servizio Assistenza. Per prevenire eventuali danni, si consiglia di rimuovere il forno...
Pagina 23 - Dispositivo Blocca Porta; Per aprire la porta con il dispositivo Blocca
ITALIANO 68 Dispositivo Blocca Porta Per aprire la porta con il dispositivo Blocca Porta vedere Fig 1. Fig. 1 Il dispositivo Blocca Porta può essere rimosso seguendo la sequenza di immagini (cfr. fig. 2). Fig. 2
Pagina 24 - Smaltimento imballaggio; Preoccupazioni ambientali
ITALIANO 69 Smaltimento imballaggio - Il materiale di imballaggio è riciclabile al 100% ed è contrassegnato dal simbolo di riciclaggio ( ). Le diverse parti dell'imballaggio non devono essere disperse nell'ambiente, ma smaltite in conformità alle norme stabilite dalle autorità locali. Smaltimento pr...