Pagina 3 - IMPORTANTE; INDICE; Istruzioni per l’utente
IT 1 Caro Cliente, sentitamente La ringraziamo e ci congratuliamo per la scelta da Lei fatta. Questo nuovo prodotto, accuratamente progettato e costruito con materiali di primissima qualità, è stato accuratamente collaudato per poter soddisfare tutte le Sue esigenze di una perfetta cottura. La pregh...
Pagina 5 - Illuminazione della manopola (se; ATTENZIONE
IT 3 IMPORTANTE • l’uso dell’apparecchio produce calore e umidità nella stanza in cui è installato. Assicurarsi che la cucina sia sufficientemente ventilata; mantenere aperti i fori di ventilazione naturale o installare dispositivi meccanici di ventilazione (es. cappa). • L’uso prolungato dell’appar...
Pagina 6 - CONTAMINUTI: Solo segnale acustico; Blocco tastiera
IT 4 Programmazione Premere il tasto ON/OFF, nella parte superiore del tasto si accenderà il led che ne indica l’attivazione. Nel pannello comandi, dove sono rappresentate le zone di ogni bruciatore, premere il tasto corrispondente alla zona per cui si vuole impostare lo spegnimento automatico, l’in...
Pagina 7 - Manutenzione
IT 5 Prima di ogni operazione disinserire elettricamente l’apparecchiatura. Per una maggiore durata dell’apparecchiatura è indispensabile eseguire periodicamente un’accurata pulizia generale tenendo presente quanto segue: • le parti in vetro, acciaio e/o smaltate devono essere pulite con prodotti id...
Pagina 8 - Istruzioni per l’installatore
IT 6 Installazione Questo apparecchio non è provvisto di un dispositivo di scarico dei prodotti della combustione. Si raccomanda che sia installato in locali sufficientemente areati secondo le disposizioni di legge vigenti. La quantità d’aria necessaria alla combustione non deve essere inferiore a 2...
Pagina 9 - Collegamento gas; Allacciamento metallico rigido/; Collegamento elettrico
IT 8 Collegamento gas (Fig. 5) Collegare l’apparecchiatura alla bombola o all’impianto secondo le prescrizioni delle norme in vigore accertandosi preventivamente che l’apparecchiatura sia predisposta al tipo di gas disponibile. In caso contrario vedi: “Adattamento a diverso tipo di gas”. Verificare ...
Pagina 10 - SINGOLO
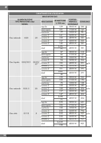
IT 9 Adattamento a diverso tipo di gas Se l’apparecchiatura risulta predisposta per un diverso tipo di gas da quello di alimentazione disponibile, si deve procedere: • alla sostituzione degli iniettori (Fig. 7) con i corrispondenti al tipo di gas da utilizzare (vedi tabella “Caratteristiche utilizza...