Pagina 2 - INDICE
                                                                                                                        2 IT / Indice INDICE AVVERTENZE __________________________ _________________________________________ RESPONSABILITÀ DEL PRODUTTORE _____________________________________________ TUTELA DELL’AMBIENTE ________________________________________________________ IMBALLI IN PLASTICA _________________________...
                                                                                                             
                                                                                            
                                    Pagina 3 - DALLA SCRIVANIA DEL PRESIDENTE
                                                                                                                        3 IT / Dalla scrivania del presidente DALLA SCRIVANIA DEL PRESIDENTE Gentile Cliente, grazie per aver scelto per la tua casa la qualità degli elettrodomestici Bertazzoni. E’ dal lontano 1882 che la mia famiglia costruisce cucine e si è dunque conquistata una solida reputazione per l’eccellenza della...
                                                                                                             
                                                                                            
                                    Pagina 4 - AVVERTENZE; RESPONSABILITA’ DEL PRODUTTORE; Pericolo di so; TARGHETTA DI IDENTIFICAZIONE
                                                                                                                        4 IT / Avvertenze AVVERTENZE LEGGERE IL LIBRETTO D’ISTRUZIONI PRIMA DI INSTALLARE ED UTILIZZARE L’APPARECCHIO. Queste istruzioni sono valide solamente per i paesi di destinazione i cui simboli di identi fi cazione fi gurano sulla copertina del libretto istruzione e sull’etichetta dell’apparecchio.Il...
                                                                                                             
                                                                                            
                                    Pagina 5 - AVVERTENZE GENERALI DI SICUREZZA
                                                                                                                        5 IT / Avvertenze AVVERTENZE AVVERTENZE GENERALI DI SICUREZZA • Questo apparecchio e le sue parti accessibili diventano molto calde durante l’uso. • Non mettere in funzione l’apparecchio con le mani umide o quando c’è contatto con l’acqua. • Non toccare gli elementi riscaldanti durante l’uso. • Tene...
                                                                                                             
                                                                                            
                                    Pagina 6 - AVVERTENZE PER L’UTILIZZO; fl
                                                                                                                        6 IT / Avvertenze AVVERTENZE AVVERTENZE PER L’UTILIZZO • Prestare particolare attenzione quando si cucinano cibi con elevate quantità di alcool, perchè potrebbero incendiarsi. • Rimuovere residui di cibo dall’interno del forno prima di utilizzare l’apparecchio, per evitare che prendano fuoco. • Non ...
                                                                                                             
                                                                                            
                                    Pagina 7 - MANUALE TECNICO PER L’INSTALLATORE
                                                                                                                        7 IT / Installazione L’installazione, le regolazioni, le trasformazioni e le manutenzioni elencate in questa parte devono essere eseguite esclusivamente da personale quali fi cato (come da normativa vigente). Un’er- rata installazione può causare danni a persone, animali o cose, nei confronti dei qu...
                                                                                                             
                                                                                            
                                    Pagina 8 - INSTALLAZIONE SOTTO PIANO INCASSO; ciente ventilazione ed un su; INSTALLAZIONE A COLONNA; one ed un su
                                                                                                                        8 IT / Installazione INSTALLAZIONE SOTTO PIANO INCASSO La distanza tra il forno e i mobili da cucina o gli apparecchi da incasso deve essere tale da garan-tire una su ffi ciente ventilazione ed un su ffi ciente scarico dell’aria.Se installato sotto un piano cottura è necessario lasciare uno spazio tra i...
                                                                                                             
                                                                                            
                                    Pagina 9 - Collegamento alla rete di alimentazione è e; Tensione; FISSAGGIO FORNO
                                                                                                                        9 IT / Installazione • Posizionare l’apparecchio nel mobile con l’ai- uto di una seconda persona. • Non usare la porta o la maniglia per posizion- are il forno. • Controllare il corretto allineamento del forno con i mobili. • Controllare che l’apertura della porta avvenga correttamente. • Fissare il...
                                                                                                             
                                                                                            
                                    Pagina 10 - SOSTITUZIONE DEI COMPONENTI; MANUTENZIONE
                                                                                                                        10 IT • Posizionare il cavo di alimentazione in modo che non sia appoggato al posteriore del forno, che non sia a contatto con bordi taglienti e che non raggiunga in nessun punto una temper-atura di 90°C. • Non utilizzare per il collegamento riduzioni, adattatori o derivatori in quanto potrebbero pr...
                                                                                                             
                                                                                            
                                    Pagina 11 - Display con touch control; FUNZIONI FORNO; PANNELLO COMANDI; SIMBOLO
                                                                                                                        11 IT / Uso COMANDI FORNO 2 MANOPOLE 1 Selettore funzioni2 Display con touch control3 Selettore temperatura FUNZIONI TEMPO menu di tempo ANNULLA/MENU’ PRECEDENTE annullare o tornare al menù precedente CONFERMA confermare o proseguire IMPOSTAZIONI menù impostazioni COMANDI FORNO FULL TOUCH 1 Display ...
                                                                                                             
                                                                                            
                                    Pagina 12 - RAFFREDDAMENTO; PRERISCALDAMENTO; USO
                                                                                                                        12 IT Per scorrere il menù spostare il dito sul dis- play. Per attivare una funzione del menù toccare il display all’altezza della funzione desiderata e tenere premuto per almeno 2 secondi. La funzione scelta si seleziona non appena si solleva il dito dal display. Toccare un paramentro sul display p...
                                                                                                             
                                                                                            
                                    Pagina 13 - Vapore; Getti di vapore per sterilizzare.
                                                                                                                        13 IT / Uso UTILIZZO FORNO 2 MANOPOLE 1. Inserire la griglia nel livello desiderato2. Selezionare la funzione forno ruotando la manop- ola 3. Impostare la temperatura ruotando la manopola in senso orario 4. Se necessario impostare la cottura temporizzata tramite il DISPLAY CON TOUCH CONTROL. Un segn...
                                                                                                             
                                                                                            
                                    Pagina 14 - Ciclo di decalci
                                                                                                                        14 IT Assistente vedi capitolo dedicato Specials Essicazione Funzione con circolazione forzata dell’aria e tem-peratura di 37°C per l’essicazione di cibi, fi ori, ver- dure. Scongelamento Funzione con circolazione forzata dell’aria per accelerare il processo di scongelamento dei cibi. Riscaldamento ...
                                                                                                             
                                                                                            
                                    Pagina 15 - VAPORE
                                                                                                                        15 IT / Uso VAPORE Cottura con l’ausilio del vapore Durante il funzionamento dell’apparecchio con aggiunta di vapore, viene immesso vapore nel forno a diversi intervalli e con varia intensità.Dosando percentuale di vapore e temperatura si raggiunge un migliore risultato di cottura:• crosta croccante...
                                                                                                             
                                                                                            
                                    Pagina 16 - si trova sulla parte supe-
                                                                                                                        16 IT CONDENSA E’ normale che durante la cottura di cibi partico-larmente ricchi di acqua o durante la cottura a vapore si formi condensa sul vetro interno della porta forno e sul pannello di controllo. Durante la cottura ad alta temperatura la condensa evap-orerà autonomamente.I programmi con contr...
                                                                                                             
                                                                                            
                                    Pagina 17 - SALVAGOCCIA
                                                                                                                        17 IT / Uso ATTENZIONE: ad ogni estrazione del serbatoio controllare che le guarnizioni siano integre e correttamente posizionate. Per cotture prolungate può essere necessario il rabbocco dell’acqua, indicato tramite un segnale acustico e un messaggio visivo. Al termine della cottura il circuito del...
                                                                                                             
                                                                                            
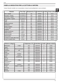
                                    Pagina 18 - Pietanze
                                                                                                                        18 IT / Uso TABELLA INDICATIVA PER LA COTTURA TABELLA INDICATIVA PER LA COTTURA Pietanze Peso (Kg) Funzione Temperatura (°C) Tempo (minuti) Lasagne 3-4 ventilato plus 210-220 45-50 Pasta al forno 3-4 ventilato plus 210-220 45-50 Arrosto di vitello 2 ventilato plus 180-190 90-100 Lonza di maiale 2 ve...
                                                                                                             
                                                                                            
                                    Pagina 20 - Menu impostazioni; UTILIZZO DEL DISPLAY TOUCH
                                                                                                                        20 IT / Uso SCHERMATA HOMEMenu tendina Nel menù a tendina sono presenti alcune funzio-ni attivabili a forno spento. Scorrere verso l’alto il simbolo FLAP _ per apri-re, scorrere verso il basso il simbolo FLAP _ per chiudere. Timer Conto alla rovescia al termine del quale viene emesso un segnale acus...
                                                                                                             
                                                                                            
                                    Pagina 21 - GESTIONE DELLE FUNZIONI TEMPO; Timer
                                                                                                                        21 IT / Uso GESTIONE DELLE FUNZIONI TEMPO La funzione tempo permette di gestire la durata della cottura. Dopo aver impostato funzione e temperatura, premere l’icona orologio ( ) e scegliere una funzione tempo. Timer Per impostare il conto alla rovescia al termine del quale viene emesso un segnale ac...
                                                                                                             
                                                                                            
                                    Pagina 22 - ASSISTANT; di vapore
                                                                                                                        22 IT / Uso ASSISTANT La funzione assistant permette la gestione di una gamma di funzioni cottura, temperature e tempi per ogni tipo di cibo.Il sistema non fornisce ricette ma pilota il forno per ricavare il meglio dalle proprie. E’ possibile creare nuove sequenze e memoriz-zarle per usi futuri. Ges...
                                                                                                             
                                                                                            
                                    Pagina 23 - PULIZIA DELL’APPARECCHIO
                                                                                                                        23 IT / Pulizia /Malfunzionamenti Prima di e ff ettuare qualsiasi operazione di pulizia manuale, attendere che tutte le parti si siano ra ff reddate e scollegare il forno dalla rete elettrica. Una cura scrupolosa del forno contribuisce a mantenerlo a lungo in buone condizioni. Pulizia delle parti smal...
                                                                                                             
                                                                                            
                                    Pagina 24 - SEMPLICI MANUTENZIONI; RIMOZIONE GUIDE LATERALI; Luce superiore del forno
                                                                                                                        24 IT SEMPLICI MANUTENZIONI RIMOZIONE GUIDE LATERALI • Individuare le due ghiere nella parte anteriore e posteriore della griglia, e svitarle. • Estrarre la griglia verso il centro del forno.• Per riamontarle eseguire i passaggi al contrar- io. SOSTITUZIONE LAMPADA FORNO Attenzione! Scollegare l’ali...
                                                                                                             
                                                                                            
                                    Pagina 25 - GARANZIA; Il forno non funziona; MALFUNZIONAMENTO
                                                                                                                        25 IT GARANZIA Il forno non funziona Al forno arriva corrente? controllare l’interruttore o il fusibile. Staccare per 1 minuto circa il forno dalla rete elettrica disinserendo la spina o l’interruttore. Il forno non scalda Veri fi care che non sia attiva la showroom mode. Veri fi care che non sia at...